Peter Weilharter, HTBLuVA Mödling

Das Mandelbrotsche "Apfelmännchen"

Mathematische Inhalte:

Grenzwerte, Fraktale

Anwendung:

Anschauliche Grenzwertbestimmung, Erstellen eines Visual Basic Moduls in EXCEL

Kurzzusammenfassung:

Bilder fraktaler Mengen üben einen starken ästhetischen Reiz aus und wecken so die Neugier vieler, die der Mathematik sonst fernstehen. Die bei der "Fraktal-Mathematik" auftretenden Grenzprozesse werden mit Hilfe von EXCEL anschaulich gemacht und können zu einem besseren Verständnis des Grenzwertbegriffs in anderen Gebieten der Mathematik beitragen.

Lehrplanbezug:

3. und 4.Jahrgang

Zeitaufwand:

3 bis 4 Stunden

Mediales Umfeld:

Software: Excel ab Version 4.0

Dateien zum Herunterladen: MANDEL.ZIP und

FFF.EXE (Sharewareprogramm zum Betrachten der Mandelbrot-Menge)

Anmerkungen:

Bei der grafischen Darstellung der Mandelbrot-Menge ist auf die jeweilige Rechengeschwindigkeit zu achten. Bei einem 386er kann die Berechnung der Zellen und der Aufbau des Diagrams bis zu 15 Minuten (ohne mathematischen Coprozessor) dauern! Bei einem Pentium 100MHz dauert dasselbe nicht einmal 10 Sekunden.

1. Inhalte des Beitrages

Von der Folge mit Anfangszahl 0 und verschiedenen komplexen Werten für c werden die Grenzwerte bestimmt. Dabei soll festgestellt werden, ob ein Grenzwert überhaupt existiert, wie schnell sich eine Folge gegen einen Grenzwert nähert und ob es der einzige Grenzwert ist.

2. Einführung

Seit Ende der siebziger Jahre läuft eine Welle durch die Mathematik und Naturwissenschaften, die in ihrer Kraft , Kreativität und Weiträumigkeit längst ein interdisziplinäres Ereignis ersten Ranges geworden ist: Chaos und Fraktale.
Chaostheorie und die fraktale Geometrie haben Naturwissenschafter und Mathematiker mit einer Reihe von Überraschungen konfrontiert, deren Auswirkungen für viele Zweige der Wissenschaft und Technik zugleich ernüchternd und dramatisch sind:

Gemeinsam ist Chaostheorie und fraktale Geometrie auch der Weg in eine nichtlineare Welt, die von vielen Wissenschaftlern wegen ihrer Komplexität umgangen wird.
Der Begriff des Fraktals wurde geprägt von Benoit B. MANDELBROT, Professor für Mathematik in Havard, und leitet sich von dem lateinischen Wort "fractus" = "zerbrochen" ab.
Mandelbrot versteht unter Fraktalen geometrische Objekte, welche sich von euklidischen Standardfiguren unterscheiden, d.h. im Gegensatz zur klassischen, geometrischen Idealvorstellung der "Glattheit" stehen. Fraktale sind auf keinem noch so mikroskopischen Niveau glatt, sondern mehr oder weniger "rauh".
Die klassische Geometrie würde beispielsweise eine Tischplatte als eine ebene Fläche beschreiben. Die Rauhigkeit der Oberfläche wird vernachläßigt. Der fraktalen Geometrie geht es jedoch gerade um die Beschreibung dieser lokalen Unregelmäßigkeiten. Sie bringt somit ein Stück Realismus ein, denn der physikalische Begriff der Reibung ist in der euklidischen, beliebig glatten Welt nicht erklärbar. So hängt die nicht ideale (rauhe) Oberflächenform eines Tisches direkt mit den nicht idealen (gebremsten) Bewegungen auf ihr zusammen.

Mandelbrot kam allerdings ursprünglich nicht aufgrund physikalischer Überlegungen zur fraktalen Geometrie, sondern versuchte vielmehr verschiedene Entdeckungen von Mathematikern unter einen Hut zu bringen, die teilweise schon ins vorige Jahrhundert datieren, bislang jedoch ins Reich der kuriosen Ausnahmen verwiesen wurden.

Fraktale Strukturen treten in vielen Bereichen auf, die heute Gegenstände intensivster Untersuchungen sind, so z.B. der Theorie nichtlinearer, dynamischer Systeme und der Chaos-Forschung.

Ein Aspekt, welcher vielen, aber nicht allen Fraktalen eigen ist, ist die "Selbstähnlichkeit". Hierunter ist zu verstehen, daß jeder Teil eines fraktalen Objekts ähnlich zum Ganzen ist.

Ein weiterer Aspekt fraktaler Gebilde ist ihre Dimension.

Die Mathematik kennt den Begriff der "topologischen Dimension". Eine Linie oder eine Strecke ist ein eindimensionales Objekt, eine Fläche ein zweidimensionales Objekt, und der Raum, in dem wir leben, ist dreidimensional. Die fraktale Dimension versucht nun, eine Verbindung zwischen zwei benachbarten topologischen Dimensionen zu bauen. Betrachten wir beispielsweise eine Dimension zwischen eins und zwei, so wird hier ein Übergang von einer geraden Linie zu einer Fläche beschrieben und ein reeller Wert zwischen 1 und 2 angenommen. Die fraktale Dimension beschreibt, wie kurvig und verwinkelt eine Linie ist und wie sehr sie eine Fläche füllt. Je größer die fraktale Dimension, desto flächenfüllender die Linie.

3. Die Mandelbrot-Menge

Das wohl am meisten bekannt gewordene Fraktal ist die durch Mandelbrot entdeckte und nach ihm benannte Menge, wegen ihrer Form auch Apfelmännchen genannt.

Definition:
 

Mandelbrot-Menge heißt die Menge aller komplexen Zahlen c, für welche die Ausgangszahl 0 

bei der Iterationsfolge  nicht gegen unendlich strebt. 

Zunächst erscheint die Mandelbrot-Menge als ein ominöses, warziges, schwarzes Objekt. Der schwarze Bereich ist die Menge der komplexen Zahlen c, die bei der Iteration endlich bleiben. Im weißen Bereich werden sie unendlich groß. Aus diesem Bild können wir noch nicht viele Details wahrnehmen. In den folgenden Vergrößerungen (Bild 1-8) ist die Geschwindigkeit, mit der die Zahlen bei der Iteration ins Unendliche davonlaufen, durch zunehmende Grauschattierung angedeutet. Unmittelbar am Rande des reinen Schwarzen lassen sich also bei genügend langer Rechnung im Weiß weitere schwarze Details entdecken. Bei einer geringen Vergrößerung überwältigt uns die Selbstähnlichkeit des Mandelbrotobjekts. Aber sie bedeutet nicht "Selbstgleichheit". Jede Knospe und jede Knospe in der Knospe ist ein bißchen anders. Beachten Sie das "Mini-Mandelbrot" in Bild 7 .

Vergrößerungen am Rande der Mandelbrot-Menge:
 

Bild 1

Bild 2 

Bild 3 

Bild 4 

Bild 5 

Bild 6 

Bild 7 

Bild 8

  4. Bestimmung von Grenzwerten
Wie aus der Definition der Mandelbrot-Menge zu entnehmen ist, gilt es nur die Folge  mit der Anfangszahl  genauer zu betrachten.

Mit Hilfe des Tabellenkalkulationsprogrammes EXCEL lassen sich Grenzwertuntersuchungen recht anschaulich darstellen und der Schüler kann auf einfache Art und Weise selbst erkennen, ob die Folge einen Grenzwert besitzt oder ob sie gegen unendlich strebt.

Bevor wir in Excel mit komplexen Zahlen rechnen können, müssen wir im Menü Extras Þ Add-In-Manager das Kontrolkästchen für Analyse Funktionen aktivieren. Damit wird eine Auswahl von zusätzlichen Funktionen, die bei der Standardmäßigen Einrichtung von EXCEL noch nicht enthalten waren, aktiviert.

Zur Berechnung unser Grenzwerte werden folgende "Funktionen" benötigt:

KOMPLEXE(Realteil;Imaginärteil;Suffix)

Wandelt den Real- und Imaginärteil in eine komplexe Zahl um.

IMSUMME(Komplexe_Zahl1;Komplexe_Zahl2;...)

IMPRODUKT(Komplexe_Zahl1;Komplexe_Zahl2;...)

Das Berechnen der Grenzwerte kann etwa folgendermaßen gelöst werden:

 

 
Mit dieser einfachen EXCEL-Tabelle können nun Grenzwerte für verschiedene komplexe Zahlen c bestimmt werden. Mit Hilfe der Auto-Fill-Funktion können die Zellen A7:B7 beliebig oft kopiert werden (Es stehen 16384 Zellen zur Verfügung!), je nachdem wieviel Iterationsschritte benötigt werden, um feststellen zu können, ob der Grenzwert endlich oder unendlich ist.

Beschränken wir uns nun auf den reellen Bereich (Imaginärteil = 0), so kann der Bereich der Mandelbrot-Menge auf der reellen Achse schrittweise abgetastet werden.

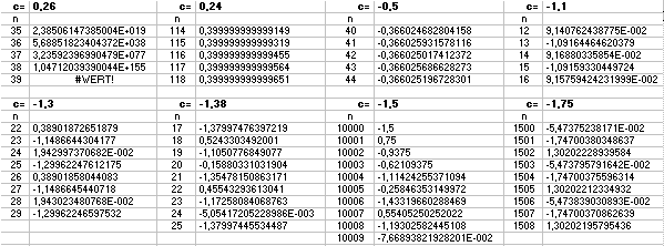
Die nachfolgenden Beispiele zeigen nur einen kleinen Ausschnitt für bestimmte reelle Werte von c:
 

Bei c = 0,26 strebt die Folge gegen unendlich!
c = 0,26 gehört also nicht zur Mandelbrot-Menge.

Bei c = 0,24 strebt die Folge sehr langsam gegen den Grenzwert 0,4; wobei das n-te Folgenglied an sich bei der Iteration immer weniger ändert. Der Grenzwert der an ändert sich daher bei der Iteration überhaupt nicht mehr.

0,4 hat nun tatsächlich diese Eigenschaft: c = 0,24 gehört somit zur Mandelbrot-Menge.

Bei c = -0,5 strebt die Folge sehr langsam gegen den Grenzwert -0,366 und gehört somit zur Mandelbrot-Menge. Dies bestätigt sich, wenn man nach einer Zahl x fragt, die sich bei einer Iteration mit c = -0,5 nicht mehr ändert:

führt auf  und damit  und . Die letzte Zahl ist offenbar der Grenzwert.

Bei c= -1,1 pendelt sich offenbar die Folge auf zwei Zahlen ein.

Für die Grenzwerte ergibt sich näherungsweise -1,0916 und 0,0916.

Bei c = -1,3 strebt die Folge überraschenderweise gegen vier Zahlen, die gerundet -1,2966; -1,1487; 0,0194 und 0,3890 lauten.

Nun liegt die Vermutung nahe, daß bei noch kleinerem c acht Zahlen erscheinen, denen sich die Folgenglieder nähern, usw. Anderseits ist für die überhaupt möglichen c-Werte nicht mehr viel "Spielraum", da links von c = -2 die Folgen ja stets gegen unendlich streben.

Bei c = -1,38 nähern sich tatsächlich die Zahlen der Folge gegen acht verschiedene Grenzwerte (gerundet):

-1,3800; -1,3548; -1,1726; -1,1051; -0,1588; 0,0051; 0,4554; 0,5243

Bei c = -1,5 scheinen die Folgeglieder "ziellos", chaotisch, zu springen. In der Tat bewegen sie sich überhaupt nicht mehr auf Grenzzahlen zu.

Wir können feststellen:
Eine Iterationsfolge verhält sich chaotisch, wenn sie nicht gegen unendlich strebt und auch keine endlichen Grenzwerte erkennen läßt, weil sie sich nun unendlich vielen Grenzzahlen nähert.

Bei c = -1,75 deuten sich wieder drei verschiedene Grenzzahlen an (wieder gerundet angegeben):
-1,747; -0,051; 1,303

5. Wie erzeugt man ein dreidimensionales Apfelmännchen auf dem Monitor

Ein Vorteil des Tabellenkalkulationsprogrammes EXCEL liegt in der einfachen Darstellung von verschieden Diagrammen. Mit dem Diagramm-Assistent lassen sich Tabellen grafisch darstellen. Dabei können verschiedene Diagrammtypen ausgewählt werden, unter anderem auch ein 3D-Oberflächendiagramm. Hat man einmal die Zellen berechnet und markiert, so hilft der Diagramm - Assistent bei der Erstellung einer Grafik.

Bevor ein Diagramm erstellt werden kann, muß die Mandelbrot-Menge berechnet werden. Dazu wird zunächst eine Tabelle erstellt, die einen Ausschnitt der komplexen Zahlenebene darstellt. Dies kann wie in folgender Tabelle geschehen:
   

Für der benötigten Ausschnitt der Komplexen Zahlenebene soll gelten:
Realteil cx von c: 
Imaginärteil von c: 

Mit der Auto-Fill-Funktion werden den Zellen B1:AP1 die Imaginärteile und den Zellen A3:A70 die Realteile der komplexen Zahl zugeordnet, indem man zur Zelle B1 bzw. A3 jedesmal 0,05 addiert.

In der Zellen B1:AP1 stehen nun die Imaginärteile der Komplexen Zahl c. Wir können diesen Zellen mit EinfügenNamenFestlegen(Eingabe:) cy einen Namen zuordnen. Statt des absoluten Bezugs kann dann der Name in Formeln verwendet werden. Den Zahlenwert dieser mit einem Namen festgelegten Zellen erhält man mit dem Befehl: WERT(cy)

Dasselbe wird nun mit dem Realteil durchgeführt und mit dem Befehl KOMPLEXE(WERT(cx);WERT(cy)) erhält man die gewünschte komplexe Zahl . Mit der Auto-Fill-Funktion kann die Zelle B3 auf den Bereich B3:AP70 kopiert werden.

5.1. Erstellung eines Visual Basic-Moduls zur Berechnung der Mandelbrot-Menge

Ausgehend von der Tabelle1 in der EXCEL-Datei "Komplexe Ebene" (siehe oben) wird ein Visual Basic-Modul durch EinfügenMakroVisual Basic-Modul erstellt.

Ob eine komplexe Zahl  zur Mandelbrot-Menge gehört, entscheidet sich darüber, wie sich  bei der fortgesetzten Iteration  verhält. Um vertretbare Rechenzeiten einzuhalten, wird angenommen, daß c zur Mandelbrot-Menge gehört, wenn nach 100 Iterationen der Betrag der entstanden komplexen Zahl kleiner als 2 ist . Daraus ergibt sich die Schleifenbedingung:

Wenn die Iterationszahl  und  oder  ist sollen die Iterationsschritte durchgeführt werden, ist eine dieser Bedingungen nicht erfüllt, so soll die letzte Iterationszahl n ausgegeben werden.

Für die Berechnung der Folge  ergibt sich aus der Zerlegung in Real- und Imaginärteil:

Realteil: 

Imaginärteil: 

Bei der Berechnung von x wird aber der noch unveränderte y-Wert gebraucht, mit Hilfe von "yhoch2" kann dieser gerettet werden.

Algorithmus für die Funktion Berechne(cx;cy):

 

Deutscher Befehlssatz

Englischer Befehlssatz

Funktion Berechne(cx; cy) 
x = 0 
y = 0 
xhoch2 = 0 
yhoch2 = 0 
Für n = 1 Bis 100 
Wenn xhoch2 + yhoch2 < 4 Dann 
y = 2 * x * y + cy 
x = xhoch2 - yhoch2 + cx 
yhoch2 = y * y 
xhoch2 = x * x 
Berechne = 100 
Sonst 
Berechne = n 
n = 100 
Ende Wenn 
Nächste n 
Ende Funktion 
Function Berechne(cx, cy) 
x = 0 
y = 0 
xhoch2 = 0 
yhoch2 = 0 
For n = 1 To 100 
If xhoch2 + yhoch2 < 4 Then 
y = 2 * x * y + cy 
x = xhoch2 - yhoch2 + cx 
yhoch2 = y * y 
xhoch2 = x * x 
Berechne = 100 
Else 
Berechne = n 
n = 100 
End If 
Next n 
End Function 

 
Wird nun in der EXCEL-Datei "Komplexe Ebene" der Befehl KOMPLEXE(WERT(cx);WERT(cy)) durch den Befehl BERECHNE(WERT(cx);WERT(cy)) ersetzt, so werden die einzelnen Zellen berechnet. Jene komplexen Zahlen, die für die Ausgangszahl 0 nicht gegen unendlich streben erhalten nach obigen Algorithmus den Wert 100, sie gehören also zur Mandelbrot-Menge. Bei allen anderen komplexen Zahlen wird die Anzahl der Iteration ausgegeben ab der die Berechnung des Grenzwertes abbricht.

Wird diese Tabelle auf eine Seite verkleinert, so zeichnet sich ein zweidimensionales Apfelmännchen ab (siehe Programm Mandel.xls in mandel.zip).

Diese Informationen können nun in einem Diagramm anschaulich präsentiert werden. Da EXCEL das Erstellen von Diagrammen unterstützt, ist das Erzeugen eines Diagramms kinderleicht. Dazu werden die Datenbereiche, aus deren Werten das Diagramm zusammengestellt ist, markiert. In unserem Fall die Zellen B3:AP70. Danach klicken Sie auf das Symbol für den Diagramm-Assistent. Der Mauszeiger ändert seine Form zu einem Fadenkreuz und neben dem Mauszeiger wird ein kleines Diagramm angezeigt. Auf einem neuen Tabellenblatt kann dann der Laufrahmen bei gedrückter linker Maustaste auf die gewünschte Größe für das Diagramm gezogen werden. Nachdem die Maustaste losgelassen wurde, startet der Diagramm-Assistent und das erste Dialogfeld. Im zweiten Schritt des Diagramm-Assistent wird die Diagrammart 3D-Oberfl. ausgewählt. Im Schritt 3 wird das AutoFormat 1 markiert. Im vierten Dialogfeld erscheint nun bereits ein Beispieldiagramm und im letzten Schritt können Diagrammtitel und eine Achsenbeschriftung hinzugefügt werden. Nach Beendigung des Diagramm-Assistent wird ein dreidimensionales Bild der Mandelbrot-Menge dargestellt.