Gerald KAISER , HTBL Kapfenberg

Vorstellung des Taschenrechners TI 92

Eine kurze Vorstellung des TI 92 erfolgte bereits in der AMMU-Aussendung im Oktober 1995. In der Zwischenzeit hat der TI 92 in vielen Schulen Einzug gehalten.
Eine der größten Unterschiede zu den bisher verwendeten Taschenrechnern liegt darin, daß man mit dem TI 92 symbolische Berechnungen durchführen kann.
Ich möchte anhand einer Extremwertaufgabe mit Nebenbedingung ( Diese Aufgabenstellung ist Ihnen sicherlich bekannt.) die Leistungsfähigkeit dieses Taschenrechners vorstellen.

Aufgabe :
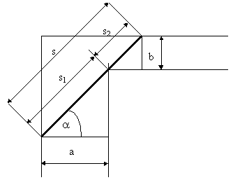
Ein Stab mit der Länge s schwimmt in einem Kanal, der einen Knick um nach rechts macht. Die Breite des Kanals ist vor dem Knick a und nachher b. Welche Länge darf der Stab h höchstens haben, damit er die Ecke gerade noch passieren kann?
 
      Zielfunktion :
 
 
 
Zielfunktion: 

maximal 

 

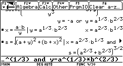
s = f ( x , y) 

Quadrieren der Zielfunktion führt zur folgenden Gleichung. 

 

Einsetzen der Nebenbedingung in die Zielfunktion führt zu : 

 

 

 

Nebenbedingung : 

a : x = y : b 

 
An dieser Stelle wird nun der Taschenrechner eingesetzt, der die "Rechenarbeit" übernehmen soll.

 
Der Befehl -Differenzieren eines Terms - kann : 

  
1. über die Tastatur : [2 nd ] [8] 
2. aus dem CATALOG erfolgen, der mit der Tastenfolge 
  CATALOG 

[ 2 nd ] [ 2] aktiviert wird.

 Durch Drücken von [D] erscheint: 

  

Der Vorteil bei der Verwendung des CATALOGES besteht darin, daß in der Statuszeile eine Eingabehilfe geboten wird. 

Durch Betätigen von [ENTER] wird der Befehl in die Eingabezeile gebracht. 

 

 

Der nächste Schritt besteht nun darin, daß die erste Ableitung null gesetzt wird und nach y aufgelöst wird.
 
Das Lösen der Gleichung erfolgt mit dem Befehl  
solve( Gleichung,Variable),der direkt über die Tastatur oder wiederum aus dem CATALOG in die Eingabezeile eingefügt werden kann. 

Mit dem Befehl ans(1) wird auf die letzte Ausgabe zugegriffen. 

 

  

  

Durch Drücken von [ENTER] wird die Gleichung gelöst und man erhält die Lösungen . 

  

 

 

Die Lösung y =  wird nun in die Nebenbedingung eingesetzt und man erhält für .

Man könnte das Einsetzen der Lösung in die Nebenbedingung auch mit dem Taschenrechner durchführen.
 
Das Ersetzen eines Wertes für eine Variable in einem Term oder in einer Gleichung erfolgt mit dem "senkrechten Strich".  

Zunächst gibt man die Nebenbedingung in die Eingabezeile ein.  

Die "Senkrechte" erzeugt man  

½  

mit [ 2 nd] [K] . Anschließend gibt man den Wert für die zu ersetzende Variable ein und drückt [ENTER]. 

  

 

Zur Berechnung der Länge des Stabes wird für x und y in die Zielfunktion eingesetzt. Dies erfolgt mit folgender Eingabe:

s=½ 
 
  

  

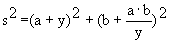
Damit ergibt sich für die Länge des Stabes : 

 

 

 

Der Vorteil in der Anwendung des Taschenrechners liegt nun darin, daß das Aufgabenproblem immer im Vordergrund bleibt und nicht durch lange Rechenarbeit wieder verschleiert wird. Weiters kann man ohne große Probleme die gleiche Aufgabenstellung mit einer anderen Nebenbedingung lösen.

 
 
Zielfunktion: 

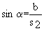
s = s1 + s2  

 

s = f(a ) 

 

Nebenbedingung: 

bzw.  

und damit 

 
 
 
Eingabe der Zielfunktion. 

  

Berechnen der ersten Ableitung. 

 

  

  

Beim Nullsetzen der ersten Ableitung wird die Gleichung auf die Form (cos a )3 . b - (sin a )3 . a = 0 umgeformt. Es ergibt sich keine Lösung für a . 

 

  

  

Eine Möglichkeit zur Lösung zu kommen, besteht darin die Gleichung zunächst nach a aufzulösen. 

 

  

  

Löst man diese Gleichung nach a auf, so erhält man die gewünschte Form. 

 

 

Für die Lösung a kommt nur ein Winkel in Frage, der kleiner als p ist. Daher setzt man

die Lösung in die Zielfunktion ein und man erhält wiederum die Länge des Stabes.
 
Da a > 0 ist sign(a) = 1 und damit erhält man für die Länge des Stabes : 
 

Zum Abschluß möchte ich darauf hinweisen, daß der TI 92 natürlich auch beim symbolischen Berechnen von Integralen ( z.Bsp.: Berechnung von Bogenlängen usw.) und die volle Grafikfähigkeit

( 2D- und 3D-Grafik , Parameterdarstellung und Darstellung von Funktionen in Polarkoordinaten) des CAS Derive enthält.