| Rentenrechnung |
Mathematische Inhalte:
geometrische Folgen und Reihen, Exponentialgleichungen
Kurzzusammenfassung:
Zeitaufwendige Berechnungen in der Finanzmathematik (geometrische Reihen, Exponentialgleichungen) lassen sich leicht klassifizieren und können von programmierbaren Taschenrechnern als finanzmathematische Funktionen ausgeführt werden.
Lehrplanbezug:
III. Jg. HAK, 6. Kl AHS (wieder seit 1989)
Mediales Umfeld:
programmierbare Taschenrechner wie PC-1403H von SHARP, symbolischer TR TI-92 von Texas Instruments, Tabellenkalkulation EXCEL
Dateinamen auf der Diskette: RENTEN.XLS
Anmerkungen:
Leider: Notebooks sind - noch - sehr teuer. An der BHAK Schwaz verwenden wir deshalb im Mathematikunterricht - vorläufig - den Pocket-Computer PC-1403H von SHARP, da dieses Gerät mit einem Preis von ca. öS 1000.- den Schülern bzw. Eltern finanziell zumutbar ist. Als "neutraler" BASIC-programmierbarer Rechner hat der PC-1403H über den Preis hinaus den Vorteil, daß Programme für die Bedürfnisse des Unterrichts angepaßt werden können. Bei einem Speicher von 32 KB RAM können sämtliche aufwendigeren numerischen Berechnungen dieser Maschine übergeben werden.
1. Klassifizierung der Rentenrechnung
Wer einen Kredit zurückzahlt, wer regelmäßig in einen Bausparvertrag einzahlt, wer eine Anleihe zeichnet, wer sein Auto über Leasing finanziert, der hat sich auf ein Rentengeschäft eingelassen: Als Rente bezeichnen wir Zahlungen, die in gleicher Höhe und in gleichen Zeitabständen erfolgen. Je nach Fälligkeit der Raten (am Anfang oder am Ende der Rentenperiode) heißt die Rente vorschüssig oder nachschüssig. Der Wert aller Raten zu Beginn der Laufzeit heißt Barwert (present value), der Wert aller Raten am Ende der Laufzeit heißt Endwert (future value). Diese Rentenwerte ergeben sich durch Aufzinsung (Faktor r) oder Abzinsung (Faktor v) aller Ratenzahlungen und führen immer auf eine geometrische Reihe:
Bsp: Endwert für eine nachschüssige Rente (die Raten müssen aufgezinst werden)

![]()
Durch Kombination von Fälligkeit und Bewertungszeitpunkt ergeben
sich vier wichtige Rentenbewertungen, die ein und denselben Zahlungsstrom
zu vier verschiedenen Zeitpunkten bewerten und sich nur um Auf- bzw. Abzinsungsfaktoren
unterscheiden. Grundlage ist jeweils die geometrische Reihe
(siehe Anhang 1):

Um ausgehend von einem gegebenen Kapitalwert die Rate einer Rente zu berechnen, muß man lediglich diesen Kapitalwert mit dem Kehrwert der geometrischen Reihe multiplizieren. Somit lassen sich Lösungsformeln für alle vier Fälle angeben. (siehe Anhang 1)
Um die Laufzeit zu bekommen, müssen die Rentenformeln (z.B.
) als Exponentialgleichungen
nach n aufgelöst werden. Durch Umformen und Logarithmieren
ergibt sich z.B für EN
. Auch hier lassen sich
leicht für alle vier Fälle allgemeine Lösungsformeln herleiten.
(siehe Anhang 1)
Diese immer wiederkehrenden Berechnungen und Gleichungsumformungen lassen sich somit mühelos vollständig klassifizieren und können einem Programm übergeben werden. (siehe Anhang 2) In der Menüsteuerung des Programms wird abgefragt, ob eine Bar- oder Endwertberechnung, eine Ratenberechnung oder eine Laufzeitberechnung gewünscht wird. Danach werden die drei jeweils gegebenen Daten abgefragt, als erstes immer der Aufzinsungsfaktor. Dann berechnet die Maschine den gesuchten Wert.
Im Programm wird nicht zwischen ganz- und unterjährigen Renten unterschieden. Sämtliche Daten müssen wie beim Entwickeln der geometrischen Reihe auf die Rentenperiode bezogen werden, insbesondere der Aufzinsungsfaktor und die Laufzeit. Das einzige Problem ist für die Schüler dabei die Umrechnung des gegebenen Zinssatzes auf den gesuchten Aufzinsungsfaktor. Ist dieser berechnet, liefert das Programm auf Knopfdruck die gewünschten Werte.
Das Programm funktioniert somit ähnlich wie ein Makro bei den Office-Programmen von Microsoft. Immer wiederkehrende Befehlsabfolgen werden aufgezeichnet, abgespeichert und abrufbar gemacht. Die Schüler wissen, daß Renten über die geometrische Reihe berechnet werden, den technischen Kleinkram überlassen sie aber der Maschine.
2. Beispiel
Das soll nun anhand einer Aufgabe aus dem Kapitel "Vorbereitung auf die schriftliche Reifeprüfung" eines für die HAK approbierten Lehrbuchs (Schneider/Thannhausser: Mathematik 4. Trauner Verlag) demonstriert werden:
Der Erbe hat bei der Übernahme eines landwirtschaftlichen Betriebes die Verpflichtung, seine beiden Schwestern mit je S 200.000.- abzufinden. Die Auszahlung der Beträge soll folgendermaßen erfolgen:
a) Die ältere Schwester erhält 20 gleiche Quartalsraten, die erste fällig ein viertel Jahr nach der Übernahme der Erbschaft. Wie hoch ist eine Quartalsrate? i = 5 %
b) Die jüngere erhält vorschüssig zahlbare Monatsraten zu je S 2000.-, beginnend zwei Jahre nach der Übernahme. Anläßlich ihrer Heirat, viereinhalb Jahre nach der Hofübernahme, erhält sie zusätzlich zu ihrer Monatsrente S 40.000.- ausbezahlt. Wie oft erhält sie diese Monatsrate und wie hoch ist die Restzahlung, wenn diese einen Termin nach der letzten Vollrate fällig ist? i = 5 %
Lösung:
a) Bezogen auf den Zeitpunkt der Übernahme handelt es sich um eine nachschüssige Quartalsrente.
Der Zinssatz muß auf die Quartalsaufzinsung
umgerechnet werden. Dann liefert das Programm die Rate R:
![]()
b) Bezogen auf den Beginn der vorschüssigen Monatsrente muß die Zahlung von S 200.000.- zwei Jahre aufgezinst und die Sonderzahlung von S 40.000.- zweieinhalb Jahre abgezinst werden. Das ergibt den Kapitalwert, der dem vorschüssigen Barwert entspricht:
![]()
Der Zinssatz muß auf die Monatsaufzinsung
umgerechnet werden. Dann liefert das Programm die Laufzeit n:
![]()
d.h. es werden 115 volle Monatsraten und eine Restrate ausbezahlt.
Um diese Restrate berechnen zu können, wird der vorschüssige Barwert für n=115 Monate ermittelt:
![]()
Der Differenzbetrag zwischen K und BV muß nun auf den gesuchten Zeitpunkt (ein Monat nach der letzten Vollrate, d.h. 115 Monate) aufgezinst werden, um die Restrate RR zu erhalten:
![]()
Was bislang eine Maturaaufgabe war, verkümmert durch das Programm zu einer Rechnung mit fünf Zeilen.
Der Einsatz des Programms hat nach meinen Erfahrungen folgende Vorteile:
1. Die Rechenzeit verkürzt sich auf die Eingabe der Daten. Dadurch lösen nun die Schüler in einstündigen Schularbeiten mehrere alte Maturaaufgaben.
2. Rechen- und Abschreibfehler in Gleichungsumformungen fallen weg.
3. Um eine Kontrolle bei der Eingabe der Daten zu haben, müssen - oder sollten - die Schüler Überschlagsrechnungen anstellen.
4. Die Ergebnisse können leicht überprüft werden, indem mit Hilfe der Lösung gegebene Werte rasch berechnet werden.
5. Mehr Unterrichtszeit wird nun für das Analysieren und Mathematisieren von Problemstellungen verwendet als für das Umformen und Lösen von Gleichungen. Das Schwergewicht liegt also nicht mehr auf der technischen Umsetzung, sondern auf der mathematischen Modellbildung! Für die Schüler wird der Unterricht dadurch anspruchsvoller und anstrengender. Kaum haben sie ein Problem gedanklich erfaßt und mathematisiert, liefert die Maschine schon das Ergebnis und flugs steht das nächste Problem im Raum. Die Zeiten des stupiden Rechnens, die für Schüler auch immer Erholungsphasen bedeuten, fallen weg.
6. Nachdem der technische Kleinkram mit der geometrischen Reihe einmal abgeräumt ist, begreifen die Schüler schneller die wesentliche Idee der Finanzmathematik, nämlich das Bewerten von Zahlungsflüssen zu bestimmten Zeitpunkten. Plötzlich erscheinen ihnen die gestellten Aufgaben leicht und einfach.
7. Die Problemstellungen können nun umfangreicher und komplexer, damit aber auch wirklichkeitsbezogener werden. Aufgaben wie die obige befinden sich jenseits jeglichen Praxisbezugs. Weil die finanzmathematischen Berechnungen bisher numerisch so aufwendig waren, hat sich in den Handelsakademien eine Aufgabenkultur etabliert, die mit der Praxis in den Banken recht wenig zu tun hat und hoffentlich bald der Vergangenheit angehören wird.
Da ich selbst aber die "Praxis in den Banken" recht wenig kenne, weiß ich allerdings noch nicht, wie diese "neuen komplexen, praxisbezogenen Aufgaben" ausschauen sollen. Für Hinweise, Anregungen etc. bin ich dankbar.
Der Einsatz dieses Rentenprogramms bringt allerdings auch Nachteile mit sich:
1. Die Schüler verlernen, mit der geometrischen Reihe zu hantieren, und sind ohne Rechner hilflos. Allerdings müssen sie sich mit der geometrischen Reihe wieder im IV. Jg. auseinandersetzen, wenn mit Hilfe des Newtonschen Näherungsverfahrens Zinssätze berechnet werden.
2. Die Schüler kommen beim Lösen von Gleichungen (speziell beim Lösen von Exponentialgleichungen) aus der Übung.
3. Finanzmathematische Funktionen mit dem TI-92
Noch leichter als mit dem PC-1403H lassen sich diese finanzmathematischen Werte als Funktionen mit dem neuen TI-92 definieren:
Bar-/Endwertberechnung:
Define bv(r,n,rt) = rt*(1-r^-n)/(1-1/r)
Define ev(r,n,rt) = rt*(r^n-1)/(1-1/r)
Define bn(r,n,rt) = rt*(1-r^-n)/(r-1)
Define en(r,n,rt) = rt*(r^n-1)/(r-1);
wobei r der Aufzinsungsfaktor, n die Laufzeit und rt die Rate ist.
Ratenberechnung:
Define rate(r,n,k,t,f) = when(t=0,when(f=0,k*(1-1/r)/(1-r^-n),
k*(r-1)/(1-r^-n)),when(f=0,k*(1-1/r)/(r^n-1),k*(r-1)/(r^n-1)))
wobei r der Aufzinsungsfaktor, n die Laufzeit, k der Kapitalwert, t der Bar- (=0) oder Endwert (=1), f die Fälligkeit (vor- (=0) oder nachschüssig (=1)) ist.
Laufzeitberechnung:
Define lz(r,rt,k,t,f) = when (t=0,when(f=0,-log(1-k/rt*(1-1/r))/log(r),
-log(1-k/rt*(r-1))/log(r)),when(f=0, log(1+k/rt*(1-1/r))/log(r),
log(1+k/rt*(r-1))/log(r)))
wobei r der Aufzinsungsfaktor, rt die Rate, k der Kapitalwert, t der Bar- (=0) oder Endwert (=1) und f die Fälligkeit (vor- (=0) oder nachschüssig (=1)) ist.
Mit diesen selbstdefinierten Funktionen löst man die obige Aufgabe folgendermaßen:
(Vor den Berechnungen den Stellenanzeigenmodus in [MODE] | [Display Digits] auf FIX 2 (=zwei Nachkommastellen) stellen!)
a) rate(1.05^(1/4),20,200000,0,1) ¿ 11.338,31
b) 200000*1.05^2-40000/1.05^2.5 [STO> ] k ¿ 185093.19 (Kapitalwert)
1.05^(1/12) [STO> ] r ¿ (Monats-Aufzinsungsfaktor)
lz(r,2000,k,0,0) ¿ 115,80 (Laufzeit in Monaten)
bv(r,115,2000) [STO> ] b ¿ 184088.78 (vorschüssiger Barwert für 115 Monate)
(k-b)*r^115 ¿ 1603.16 (Restrate)
4. Finanzmathematische Funktionen in EXCEL
Die Verwendung solcher "Makros" für die Rentenrechnung hat meiner Meinung nach auch ihre praktische Berechtigung. Ich vermute, daß kein Mensch in einer Bank finanzmathematische Probleme löst, indem er am Papier geometrische Reihen entwickelt. In jeder Bank stehen entsprechende Programme zur Verfügung. Insbesondere verfügt die Tabellenkalkulation EXCEL über zahlreiche finanzmathematische Funktionen, selbstverständlich auch über alle zur Berechnung von Renten:
BW(Zins; Zzr; Rmz; Zw; F) Barwert
ZW(Zins; Zzr; Rmz; Bw; F) zukünftiger Wert (= Endwert)
RMZ(Zins; Zzr; Bw; Zw; F) regelmäßige Zahlung (= Rate R)
ZZR(Zins; Rmz; Bw; Zw; F) Anzahl der Zahlungszeiträume (= Laufzeit n)
F....Fälligkeit (0...nachschüssig; 1...vorschüssig)
Weiters stellt EXCEL zwei Funktionen zur Umrechnung von Zinssätzen zur Verfügung:
NOMINAL(Effektivzins; Perioden pro Jahr) jährliche Nominalverzinsung;
EFFEKTIV(Nominalzins; Perioden pro Jahr) jährliche Effektivverzinsung.
(Falls nicht verfügbar: über den Add-In-Makro "Analyse-Funktionen" installieren!)
Beispiel: NOMINAL(5%;4)/4 ergibt 0,012272234, der zu i = 5 % äquivalente Quartalszinssatz i4.
Die Funktionen in EXCEL und auf dem TI-92 haben zudem den Vorteil, daß sie beliebig verschachtelt werden können.
Mit EXCEL kann die Aufgabe etwa folgendermaßen gelöst werden:

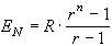
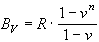
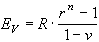
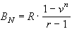
Anhang 1: FORMELN zur RENTENRECHNUNG
BAR-/ENDWERTBERECHNUNG:
| Rente | Barwert | Endwert | Grundlage: |
| nachschüssig | |||
| vorschüssig | (geometrische Reihe) |
RATENBERECHNUNG:
LAUFZEITBERECHNUNG:
![]() |
|
![]() |
![]() |
Anhang 2: Rentenrechnung mit dem PC-1403H
400: "F":PRINT "Rentenrechnung"
405: INPUT "ges: B,E(1) R(2) n(3) ?";W: REM Menüsteuerung
406: INPUT "Aufzinsung r = ";R
408: ON W GOTO 410,440,470,499
410: INPUT "Rate R = ";RA : REM Barwert/Endwertberechnung
412: INPUT "Laufzeit n = ";N
413: G = (R^N-1)/(R-1): REM geometrische Reihe
415: INPUT "Bn(1)En(2)Bv(3)Ev(4) ?";W
416: ON W GOTO 420,422,424,426,400,499
420: BN = RA*G/R^N
421: PRINT "Barwert ns. = ";BN: GOTO 415
422: EN = RA*G
423: PRINT "Endwert ns. = ";EN: GOTO 415
424: BV = RA*G/R^(N-1)
425: PRINT "Barwert vs. = ";BV: GOTO 415
426: EV = RA*G*R
427: PRINT "Endwert vs. = ";EV: GOTO 415
440: INPUT "Laufzeit n = ";N: REM Ratenberechnung
442: G = (R^N-1)/(R-1): REM geometrische Reihe
445: INPUT "Bn(1)En(2)Bv(3)Ev(4) ?";W
446: ON W GOTO 450,452,454,456
450: INPUT "Barwert ns. = ";BN
451: RA = BN*R^N/G: GOTO 460
452: INPUT "Endwert ns. = ";EN
453: RA = EN/G: GOTO 460
454: INPUT "Barwert vs. = ";BV
455: RA = BV*R^(N-1)/G: GOTO 460
456: INPUT "Endwert vs. = ";EV
457: RA = EV/R/G: GOTO 460
460: PRINT "Rate R = ";RA: GOTO 400
470: INPUT "Rate R = ";RA: REM Laufzeitberechnung
472: INPUT "Bn(1)En(2)Bv(3)Ev(4) ?";W
473: ON W GOTO 480,482,484,486
480: INPUT "Barwert ns. = ";BN
481: NX = -LOG(1-BN/RA*(R-1))/LOG R: GOTO 490
482: INPUT "Endwert ns. = ";EN
483: NX = LOG(1+EN/RA*(R-1))/LOG R: GOTO 490
484: INPUT "Barwert vs. = ";BV
485: NX = -LOG(1-BV/RA*(1-1/R))/LOG R: GOTO 490
486: INPUT "Endwert vs. = ";EV
487: NX = LOG(1+EV/RA*(1-1/R))/LOG R: GOTO 490
490: PRINT "Laufzeit n = ";NX: GOTO 400
499: END
mit den Variablen kann im RUN-Modus weitergerechnet werden:
R...Aufzinsungsfaktor BN..Barwert nachschüssig
RA..Rate EN..Endwert nachschüssig
N...gegebene Laufzeit BV..Barwert vorschüssig
NX..berechnete Laufzeit EV..Endwert vorschüssig