Gerald KAISER , HTBL Kapfenberg
| Rollkurven |
Mathematische Inhalte:
Funktionen in Parameterdarstellung
Aufgabenstellung:
Es sollen die Funktionsgleichungen der Rollkurven in Parameterdarstellung abgeleitet werden . Anschließend sollen die Grafen gezeichnet werden.
Kurzzusammenfassung:
Zunächst werden die Gleichungen der Rollkurven in Paramterform abgeleitet. Die Darstellung der Rollkurven erfolgt dann mit unterschiedlichen Systemen. ( Mathcad 5.0 Plus - Derive 3.0 - Taschenrechner HP 48 G )
Anmerkungen:
Ich habe in 2 Klassen parallel einmal mit Taschenrechner und Derive und in der anderen Klasse mit Taschenrechner und Mathcad gearbeitet .Als Erweiterung habe ich mit dem Taschenrechner numerisch und mit Derive und Mathcad symbolisch die Bogenlängen berechnet .Diese Aufgabenstellungen können vollständig auch mit dem Taschenrechner Texas TI 85 ausgeführt werden .
Lehrplanbezug:
3.Jahrgang Maschinenbau
Mediales Umfeld:
Die Berechnungen wurden vollständig mit der Derive Version 3.0 , Mathcad 5.0 Plus
Taschenrechner HP 48 G durchgeführt.
Dateinamen zum Herunterladen:ka_roll.mth
und ka_roll.mcd
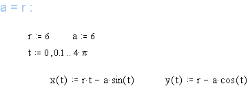
1.Kreis mit dem
Radius r rollt längs einer Geraden ab : ( Zykloiden )
|
|
Der Punkt
P ( x / y ) bewegt sich im Abstand a
vom Mittelpunkt M . Wie man aus der Skizze leicht erkennen kann , gilt für die Zykloide in Parameterform :
x (t) = r*t - a*sint y (t) = r - a*cost |
Mathcad 5.0 Plus:
Der Radius wird mit 6 und a mit 2 definiert . Es werden zwei volle Umdrehungen ausgeführt .
a < r


Derive 3.0 :
#3: [ r*t-a*sint , r - a*cost ]
#4: r:=6
#5: a:=2
#6: [6*t-2*sint , 6 - 2*cost ] simplify
#3
Der Bildschirm wird zur grafischen
Darstellung horizontal unterteilt .
Befehlsfolge PLOT: Under - PLOT
UNDER : At line : 13
Die Skalierung wird mit scale
x = 10 und y =10 festgelegt . Weiters wird der Koordinatenursprung verschoben
. Dazu setzt man den Cursor mit Move auf x = 30 und y = 0 . Mit
anschließendem
center erhält man die gewünschte
Einstellung .
Taschenrechner HP 48 G :
Hiezu geht man in das PLOT - Menü
.
Mit den Cursortasten gelangt man zu
den einzelnen Feldern .
|
|
TYPE : Durch
Drücken von CHOOS stellt man die gewünschte Funktionsart ein . EQ : Eingabe der Funktionsgleichung INDEP : Angabe der Variablen H-VIEW : Horizontalbereich der Grafik V-VIEW : Vertikalbereich der Grafik Wird AUTOSCALE aktiviert , so braucht man keinen Vertikalbereich angeben . |
Den Wertebereich des Parameters kann
man im PLOT OPTIONS Menü verändern .
![]() |
LO : untere
Grenze HI : obere Grenze
|
![]() |
Durch Aktivieren
von TRACE und ( X,Y) kann die Funtion abgetastet werden und zum entsprechenden Parameterwert wird die x- und y-Koordinate angegeben .
|
Der Vorteil des Taschenrechners ist zweifelsohne , daß jeder Schüler einen besitzt und daß er jede Stunde zur Verfügung steht .
Mathcad 5.0 Plus :

Derive 3.0 :
#7 : a:=6
#8 : [ 6*t-6*SIN(t) , 6- 6 *COS(t) ]
simplify #3
Taschenrechner HP 48 G :
Die Grundeinstellungen am Taschenrechner
haben sich nicht verändert .
Es wird lediglich die Funktionsgleichung
geändert . Dazu aktiviert man im Plot-Menü EQ
und drückt EDIT - ON ( CANCEL ) - und anschließend die Taste
‘ und beginnt mit der Eingabe
.
Mathcad 5.0 Plus :
Derive 3.0 :
# 9 : a:=8
#10 : [6*t-8*SIN(t) , 6 - 8*COS(t) ]
simplify #3
Taschenrechner HP 48 G :
Bei den weiteren Ausführungen
wird jeweils eine Darstellung mit Mathcad , Derive
und dem Taschenrechen HP 48 G gezeichnet
.
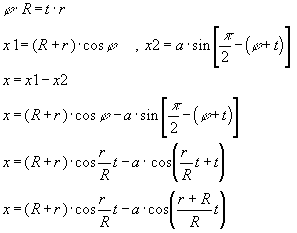
2.Kreis mit dem
Radius r rollt außen auf einem Kreis mit dem Radius R ab :
( Epizykloiden )
|
|
|
Mathcad 5.0 Plus :
a < r :
a = r :
Derive 3.0 :
#11 : Epizykloiden
#12 : CaseMode:=Sensitive
Unterscheidung zwischen Groß - und Kleinbuchstaben
#14 : R:=6
#15 : r:=2
#13 : [(R+r)*COS(rt/R)-a*COS((r+R)t/R)
, (R+r)*SIN(rt/R)-a*SIN((r+R)t/R) ]
....
#18 : a:=2
#19 : [ 8*COS(t/3)-2*COS(4t/3) , 8*SIN(t/3)
- 2*SIN(4t/3) ] simplify #13
|
|
Bei dieser Darstellung ist es besser
scale . x = 5 , y = 5 |
Taschenrechner HP 48 G:
a > r :
|
|
|
Im Grafikfenster kann man unterschiedliche
Optionen einstellen . Durch Drücken der Taste NXT erscheinen weitere
Untermenüs .
z.Bsp.: EDIT - LABEL -->Achsenbeschriftung
MENUE --> Menüleiste verschwindet
3.Kreis mit dem
Radius r rollt innen auf einem Kreis mit dem Radius R ab :
( Hypozykloiden
)
![]()
Mathcad 5.0 Plus :
a < r :
![]()
Derive 3.0 :
a = r :
#23 : [(R-r)*COS(rt/R)+a*COS((R-r)t/R,(R-r)*SIN(rt/R)+a*SIN((R-r)t/R) ]
#24: R:=6
#25: r:=2
....
#28: a:=2
#29: [2*COS(2t/3)+4*COS(t/3) , 2*SIN(2t/3)+4*SIN(t/3)] simplify#23
|
|
Der Bildschirm wird wieder vertikal
unterteilt .
|
Taschenrechner HP 48 G :
a > r :
Die vollständigen Programme
können hier heruntergeladen werden:
ka_roll.mth
für Derive bzw. ka_roll.mcd
für Mathcad .