Erich Zott, HTL Mödling
| Programmierbare SHARP-Rechner im Unterricht ("Scharfe Programme" - Teil 3) |
Mathematische Inhalte:
4.Jahrgang: FOURIER Reihen
4 Stunden (Programme intensiv erarbeiten)
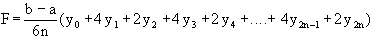
Grundlage ist die Formel von SIMPSON zur numerischen Integration:
Die Folge <k> der Koeffizienten ist 4 - 2 - 4 - 2 - ...
Da bietet sich doch ein Brainstorm-Klassenwettbewerb an, um dafür eine passende (Iterations)Formel zu finden! Einige Lösungen wären:
Þ k = 2*SIN^2(i*pi/2)+2
Þ k = 3-(-1)^i
Þ k=2, k=k-(-1)^i*2
Þ k=2, k=6-k
1 Y= ...f(x)...
2 RETURN
3400 "J" PRINT " b e S t I M P s S i n t ":CLEAR
3405 INPUT " a = ";A," b = ";B," STreifeN = ";STN
3410 DST=(B-A)/2/ STN:K=2
3415 X=A:GOSUB 1:F=Y
3420 FOR I=1 TO 2* STN -1
3425 K=6-K:X=X+DST
3430 GOSUB 1:F=F+K*Y
3435 NEXT I
3440 X=B:GOSUB 1:F=(F+Y)* DST /3
3445 " Integral = "; USING "##.###^";MDF F
3450 USING :RETURN
3) Das "Drei MMM-ädchen" BEISPIEL:
Aus einer Eingebung heraus bat ich die 3 Mädchen im 4.Jahrgang
um Funktionen, die wir für eine abschliessende FOURIER-Entwicklung
verwenden wollten. Sie nannten cos x, x3
und ln x. Also...
Geg.: f1(x) = -cos x für -p < x < -p /3
f3(x) = 1-ln x für p /3 < x < p
Ges.: FOURIER-Reihe
In den vorhergehenden Stunden wurden die Formeln brav abgeleitet und an etlichen Beispielen geübt, sodaß sich ein Gefühl für die Schwierigkeiten entwickeln konnte. Daher ließ der kundige Blick auf die Angabe das Schülerherz erbeben. Kurz und gut: ein Wahnsinnsbeispiel!
Zur lockeren Einstimmung zeichnen wir zunächst unsere Angabefunktion:

4) Bewältigung:
Zur Bestimmung der FOURIER-Koeffizienten sind viele Integrale zu berechnen:
Nicht so bei Verwendung unseres BASIC Rechners. Hier bietet sich für den Lehrer sogar eine großartige Gelegenheit zu einer Gruppenarbeit:
Jedem Schüler wird ein Integral zugewiesen. Der Integrand wird in die #1 eingegeben, z.B.:
und mit Aufruf "J", den Grenzen a = - p , b = - p /3 und der Streifenzahl STN = 8 hat er schon den numerischen Wert! ( 0.2757)
Mit den obigen Koeffizienten erhalten wir das überwältigende Resultat:

5) Das DreiMäderlBeispiel als DERIVE-Datei:
" Vorher mit T L U INT_APPS laden und mit O N Digits:3 und X: "
DREIM(x):=CHI(-p ,x,- p /3)*(-COS(x))+CHI(-p /3,x, p /3)*x^3+CHI(p /3,x, p )*(1-LN(x))
FOURIER(DREIM(x),x,- p ,p ,4)
