Roland Pichler, HTBLA Kapfenberg
| Der Wankelmotor |
Mathematische Inhalte:
Trigonometrische Funktionen (Summensätze), Parameterdarstellung von Funktionen, IntegralrechnungAnwendung:
Technische Anwendung der ZykloidenKurzzusammenfassung:
Ausgehend von der Skizze eines Kreiskolbenmotors sollen die Parameterdarstellung der Kontur, deren Bogenlänge sowie der Flächeninhalt der von der Kontur umschlossenen Fläche unter Verwendung von DERIVE angegeben werden.Lehrplanbezug:
2. Jahrgang, 3. Jahrgang; vorwiegend Abt. für MaschinenbauMediales Umfeld:
Software: DERIVE 2.51
Dateien zum Herunterladen: pi-wmot1.mth, pi-wmot2.mth
Beim Einsatz im Unterricht sind mehrere Varianten möglich. So kann man zum z. B. den ersten Teil dazu verwenden, die Schüler des zweiten Jahrganges im Umgang mit DERIVE zu schulen, indem sie die Umformungen, die Summensätze betreffend, mit dem "Rechner" durchführen.1. EinführungIm dritten Jahrgang bespricht man anhand dieses Beispiels die Parameterdarstellung von Funktionen, deren Integration und die numerische Integration (bei der Berechnung der Bogenlänge).
Man kann aber auch im dritten Jahrgang den Beitrag als kleines mathematisches Projekt verwenden.
Die Skizze auf der nächsten Seite zeigt einen Profilschnitt des Wankelmotors. Mit dem Gehäuse G ist der Kreis K starr verbunden; auf diesem Kreis rollt der Läuferkreis L ab. Ein Punkt P, der an L befestigt ist, beschreibt dabei die Kontur Z (Epitrochoide).
Aufgabenstellung:
(Es ist a = 3, b = 2, d = 7)
a.) Man gebe a als Funktion von t an.
b.) Man gebe eine Parameterdarstellung x(t), y(t) von Z an.
c.) Für einen festen Punkt P auf L berechne man den Umfang U seiner Bahn bei einer Umdrehung.
d.) Man berechne den Flächeninhalt A der von der Zykloide umschlossenen Fläche.
e.) Man zeichne verschiedene Konturen von Z in Abhängigkeit von d.

2.Ausführung der Aufgabenstellung
a.) Den Zusammenhang zwischen a
und t kann man an Fig. 1 erkennen. t ist der Winkel des abrollenden großen
Kreises, während a der Winkel des festen
kleinen Kreises ist. Da die beiden Kreise aufeinander abrollen, müssen
die Abrollwege s1 = ta und s2 = a
b gleich lang sein. Es gilt daher:

b.) Die zur Herleitung der Parameterdarstellung von x(t) und y(t) wesentlichen Teile aus der Skizze des Wankelmotors, kann man an Fig. 2. erkennen.

Das Koordinatensystem (x1,y1) wurde als Hilfssystem eingeführt, da man aus den Verschiebungen
x - x1 und y - y1 die Koordinaten x(t) und y(t) angeben kann.
Im wesentlichen erhält man die Berechnung folgendermaßen:
Zuerst gibt man die Koordinaten des Läufereckpunktes P im (x1,y1)- Koordinatensystem an, wobei der Winkel b in Abhängigkeit von a und t angegeben wird.
x1 = dcosb und y1 = dsinb
mit
Anschließend berechnet man x - x1 und y - y1:
Daraus erhält man :
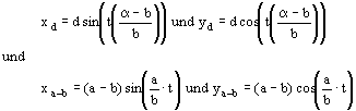
Setzt man nun
Diese Darstellung läßt sich als Überlagerung von zwei Kreisbewegungen
Der kleine Kreis (Radius a - b) bewegt sich wie ein Planet mit seinem Mittelpunkt auf dem großen Kreis (Radius d). Der Punkt P dreht sich dabei auf dem kleinen Kreis mit. (Fig. 3)

Aus technischen Gründen (der Wankelmotor soll drei
Kammern haben) ist die Wahl für a und b eingeschränkt. Die Zykloide
wird nicht nur durch den Punkt P erzeugt; es müssen sich noch zusätzlich
die beiden anderen Eckpunkte des Läufers entlang der Zykloide bewegen.
Das heißt, zwei weitere kleine Kreise müssen sich auf dem großen
Kreis bewegen, wobei deren Mittelpunkte um
,
bzw. um
verschoben sind. (Fig. 4)

Damit die Bewegung des Läufers "paßt", müssen die Perioden durch
verknüpft sein. Es muß also gelten:
.
Die Wahl von a und b ist nun durch die Beziehung
eingeschränkt. Die Parameterdarstellung der Zykloide erhält daher
folgende Form:

Diese Herleitung soll nun von den Schülern mit Hilfe von DERIVE durchgeführt werden.
Dazu ist folgende Voreinstellung nützlich: OPTIONS - INPUT - WORD
Durch diese Wahl können Sie beliebige Variablennamen vergeben (z.B. sind x bzw. x1 verschiedene Variable), da jede abgeschlossene Zeichenkette als eigene Variable erkannt wird.
c.) Die Berechnung der Bogenlänge einer Funktion
in Parameterdarstellung in den Grenzen ta und te
erfolgt mit Hilfe folgender Formel:
.
Mit DERIVE bildet man die Quadrate der Ableitungen
, berechnet die Summe, zieht daraus die Wurzel und integriert in den Grenzen
von ta= 0 bis te = 4p
. Diese Grenzen ergeben sich aus der Tatsache, daß ein voller Umlauf
des Punktes P für
gegeben ist (Die Parameterdarstellung enthält nämlich die Terme
mit der Periode 4p als größter Periode).
Dieses Integral ist aber elementar nicht lösbar, denn es ist ein elliptisches
Integral 2. Art.
DERIVE verwendet zur Berechnung ein Näherungsverfahren , welches für die vorgegebenen Werte d, a und b das Ergebnis s = 46.0262 LE liefert.
d.) Den Inhalt der von der Zykloide umschlossenen Fläche
bestimmt man wieder mit DERIVE unter Verwendung der Formel
.
Man erhält den Wert
.
DERIVE liefert bei der Berechnung der Bogenlänge den Näherungswert 46.0262 nur dann, wenn man im APPROXIMATE - oder MIXED - Modus arbeitet (durch OPTIONS - PRECISION - APPROXIMATE / MIXED) und SIMPLIFY verwendet. Ist man im EXACT - Modus liefert SIMPLIFY nur einen Ausdruck mit einem vereinfachten Integranden. Durch APPROX ist jedoch im EXACT - Modus auch der Näherungswert berechenbar.
Der Flächeninhalt wird aber auch im EXACT - Modus mit 52p genau angegeben.
e.) Die Konturen haben für verschiedene d folgendes Aussehen:

DERIVE zeichnet Kurven in Parameterform, wenn man x(t)
und y(t) als Vektor eingibt: [x(t),y(t)].
Der Aufruf von PLOT, Eingabe der Parametergrenzen
0 bis 4p und zweimaliges Verwenden von F10 liefert
die gewünschten Konturen.
Berechnungsprotokoll zu pi-wmot1.mth:
1: "Berechnung der Parameterdarstellung"
2: "Definitionen von x1, y1 und a "
3: x1:=d*COS(b )
4: y1:=d*SIN(b )
5: b :=p /2-(a -t)
6: "Aufstellen der Gleichungen:"
7: x-x1=-(a-b)*COS(a -p /2)
8 y-y1=(a-b)*SIN(a -p /2)
9: "Lösen der Gleichungen liefert:"
10: x=d*SIN(a -t)+(b-a)*SIN(a ) SOLVE #7:
(Solvevariable x)
11: y=d*COS(a -t)+(b-a)*COS(a ) SOLVE #8:
(Solvevariable y)
12: a :=a/b*t
13: x=d*SIN(a*t/b-t)+(b-a)*SIN(a*t/b) SIMPLIFY #10:
14: y=d*COS(a*t/b-t)+(b-a)*COS(a*t/b) SIMPLIFY #11:
15: a:=3/2*b
16: x=d*SIN(t/2)-b*SIN(3*t/2)/2
17: y=d*COS(t/2)-b*COS(3*t/2)/2
Berechnungsprotokoll zu pi-wmot2.mth:
1: "Berechnung der Bogenlänge für d=7, a=3 und b=2:"
2: "Definition von X(t) und Y(t):"
3: X(t):=d*SIN(t/2)-(a-b)*SIN(3/2*t)
4: Y(t):=d*COS(t/2)-(a-b)*COS(3/2*t)
5: d:=7
6: a:=3
7: b:=2
8: INT(SQRT(DIF(X(t),t)^2+DIF(Y(t),t)^2),t,0,4*p )
9: 12289/267 APPROX #8:
10: "-------------------------------------"
11: "Berechnung des Flächeninhaltes für obige Werte:"
12: INT(Y(t)*DIF(X(t),t),t,0,4*p )
13: 52*p SIMPLIFY #12:
14: "-------------------------------------"
15: "Graphische Darstellung"
16: [X(t),Y(t)]
Literaturhinweise:
Rüdiger Seydel, Roland Bulirsch: Vom Regenbogen zum Farbfernsehen Springer Verlag, 1986