Gerald Kaiser , HTBL Kapfenberg

Amplitudenspektrum einer Fourier - Reihe

Es dies der 3. und letzte Teil zum Thema Fourier - Reihen .
Zur Erinnerung :
Teil 1 : Darstellung einer Funktion durch eine Fourier - Reihe ( Mai 1993 )
Teil 2 : Rekonstruktion einer Funktion durch eine Fourier - Reihe ( Oktober 1993 )

Aufgabenstellung:

Von einer Fourier - Reihe soll das Amplitudenspektrum dargestellt werden und der Zusammenhang zwischen der Fourier - Reihe und dem Spektrum erkannt werden .
Anmerkung:
Der erste Teil soll zunächst dem Schüler den Zusammenhang eines Amplitudenspektrums und der Funktion näherbringen . Im zweiten Teil werden dann Möglichkeiten angegeben ,wie man von Fourier - Reihen ausgehend auf die entsprechenden Spektren kommt .
Zeitaufwand:
eine Doppelstunde
Lehrplanbezug:
4.Jahrgang Elektrotechnik
Mediales Umfeld:
verwendete Medien :Die Aufgabenstellung wurde ausschließlich mit DERIVE Version 2.51 durchgeführt .
1.Teil:
Man definiert eine einfache Funktion z.Bsp.: f ( t ) := sin ( t ) - .

Als nächsten Schritt unterteilt man den Bildschirm in 3 Fenster .

Window - Split - Vertical ( 30 ) Das 2. Fenster wird als Grafikfenster eingerichtet . Window - Designate - 2 D Plot Dieses Fenster wird in 2 Grafikfenster unterteilt . Window - Split - Horizontal ( 12 ) Nun geht man auf die Teilfunktionen ein . Jede Sinusfunktion  ist durch die Angabe der Faktoren a ( Amplitude ) und w ( Kreisfrequenz w = 2p f ) bestimmt . Das bedeutet , daß durch die Angabe dieser Größen eine Sinusfunktion festgelegt werden kann .

Dies wird als nächstes grafisch dargestellt . Dazu wird die oben beschriebene Funktion im Algebrafenster eingegeben .

1 : sin ( t ) - 

Dann werden die " Amplituden " als Funktion der Frequenz festgelegt . Dazu gibt man die Anfangs - und Endpunkte an .

2 : 

Im nächsten Schritt wird mit Hilfe der Cursortasten sin ( t ) markiert .

Mit < F1> gelangt man in das Grafikfenster 2 .

Mit Scale x = 2 und y = 1 wird dis Skalierung geändert und mit Move x = 2 und y = 0 und anschließendem Center wird der Koordinatenursprung verschoben .

Dann wird die Funktion mit Plot gezeichnet .

Mit < F1> gelangt man in das Grafikfenster 3 .

Mit Scale x = 2 und y = 1 wird dis Skalierung geändert und mit Move x = 2 und y = 0 und anschließendem Center wird der Koordinatenursprung verschoben .

Mit Options - Connected - Large werden die Voraussetzungen geschaffen , daß man senkrechte Strecken zeichnen kann .

Mit < F1 > geht man wieder in das Algebrafenster und markiert die erste Matrix innerhalb der Klammern .

Mit < Shift > + < F1 > gelangt man wieder in das Grafikfenster 3 und mit Plot wird die dazugehörige Amplitude gezeichnet .

 Als nächstes markiert man  und mit Author - < F3 > erhält man die gewünschte Funktion . Mit Plot zeichnet man die Funktion im Grafikfenster 2.

Dann wird die 3 . Matrix markiert und im 3.Grafikfenster gezeichnet .

Als Abschluß markiert man die 2 . Matrix und zeichnet diese .

Der Bildschirm soll nun folgendes Aussehen haben :

Da die Funktionen und die entsprechenden Amplituden die gleiche Farbe aufweisen , kann der Schüler sehr gut den Zusammenhang optisch erkennen .

Ebenso bei w = 2 ist die Amplitude gleich null . Das bedeutet ,daß der Amplitude null die Funktion y = 0 * sin(2t) = 0 zugeordnet wird .

Jeder Teilfunktion wird eine bestimmte Amplitude und bestimmte Kreisfrequenz im Spektrum zugeordnet .

Als letzten Schritt werden im Grafikfenster 2 mit Delete - All alle Funktionen gelöscht und die resultierende Funktion gezeichnet .

Aus dem Amplitudenspektrum soll der Schüler nun erkennen , daß die Funktion im Grafikfenster 2 durch zwei Sinusfunktionen mit den entsprechenden Amplituden und Frequenzen dargestellt werden kann . Weiters soll man darauf hinweisen , daß nur die Absolutbeträge der Amplituden von Bedeutung sind.

Mit diesen Überlegungen und Darstellungen kann man , so denke ich , den Schülern das Amplitudenspektrum wirklich näher bringen .

2.Teil:

Hier möchte ich nur mehr die entsprechenden Befehle für die Ausführung eines Amplitudenspektrums angeben . Es ist wichtig , daß die Fourier - Reihe mit einer Summenformel dargestellt wird , damit man für die Amplituden eine allgemeine Formel aufstellen kann .

Beispiel 1:

Die Funktion y = x ist im Intervall [ - p , p ] in eine Fourier - Reihe zu entwickeln und das zugehörige Amplitudenspektrum ist grafisch darzustellen .

Auf die Berechnung der Fourier - Reihe möchte ich hier nicht mehr eingehen .

Für die Fourier - Reihe ergibt sich : 

Betrachtet man nur die Absolutbeträge so erhält man :

1 : ampl := VECTOR 

Als nächstes definiert man e . e entspricht der Anzahl der Amplituden .

2 : e := 8

3 : SIMPLIFY # 2

Mit den entsprechenden Optionen , die im Teil 1 erklärt wurden , zeichnet man das Spektrum .

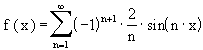
Beispiel 2 :

Von der Fourier - Reihe f(x) =  ist das Amplitudenspektrum darzustellen . Die Fourierkoeffizienten sind für gerade n gleich null . Das wird in folgender Definition berücksichtigt .

Programm :

1 : ampl (n ) : = 

2 : VECTOR ( [[n,0],[n,ampl(n)]] , n , 1 , e )

3 : a :=2

4 : e :=9

5 : SIMPLIFY # 2

abschließende Bemerkung:

Man kann die Fourier - Reihe noch auf eine andere Weise darstellen .

Mit Hilfe der Beziehungen :

Amplituden :  mit 

und dem 1. Summensatz ( ) erhält man :

Mit dieser Beziehung kann man ein Amplitudenspektrum ( diskrete Amplituden An in Abhängigkeit von n ) , als auch ein Phasenspektrum ( Phasenverschiebung  als Funktion von n ) darststellen.

Für die meisten Amplitudenspektren ist diese Darstellung aber nicht notwendig .