Christian Schweitzer, TGM Wien

Anwendungsbeispiele im Mathematikunterricht

Mathematische Inhalte:

Modellbildung

Anwendung:

Zusammenfassung erworbener Kenntnisse aus dem 1., 2. und 3. Jahrgang

Kurzzusammenfassung:

Schüler referieren über umfangreiche Anwendungsaufgaben, Verwendung von Overheadprojektor, Erstellen von Unterlagen.

Lehrplanbezug:

3. Jahrgang, Anwendung der mathematischen Kenntnisse auf praktische Beispiele

Zeitaufwand:

1 Stunde Vorbereitung, 20 bis 25 Minuten je Schüler

Mediales Umfeld:

Verwendete Medien: Overheadprojektor, evtl.. PC
Dateien zum Herunterladen: sc_zyl*.*

Anmerkungen:

Die Dateien sind Grafiken im BMP bzw. WMF Format, die für die Erstellung der Folien in der konkreten Schülerarbeit verwendet wurden.

1. Die Idee

In unserem angewandten Mathematikunterricht ist es notwendig, im Zusammenhang und in Absprache mit den fachtheoretischen Gegenständen, Anwendungsbeispiele zu rechnen. Dabei haben die Schüler vor allem mit der Modellbildung, der Umsetzung eines praktisches Beispiels in die Sprache der Mathematik und der entsprechenden Interpretation der Ergebnisse oft große Probleme. Aber gerade diese Aufgaben soll ein Ingenieur lösen können. In den technischen Gegenständen wird oft nur ein rezepthafter Ansatz gebraucht und verwendet. Auf der anderen Seite ist es im Mathematikunterricht nur zum Teil möglich, Anwendungsbeispiele zu rechnen und Hinweise zu entsprechenden Problemen zu geben. Umfangreiche Beispiele können vom Lehrer zwar vorgeführt werden, aber das kostet Zeit und bietet bei weitem nicht die Sicherheit, daß ein Schüler selbständig ein ähnliches Problem zu lösen imstande wäre. Ich möchte daher im folgenden Beitrag ein Methode vorstellen, mit der ich in einem 3. Jahrgang viele wirklich umfangreiche Anwendungsbeispiele aus den unterschiedlichsten Gebieten recht erfolgreich umgesetzt habe.

2. Vorbereitung:

3. Planung und Durchführung:

In einer Unterrichtseinheit wird das Musterbeispiel vorgeführt. Anschließend erhalten die Schüler die Liste der mit den zur Auswahl stehenden Themen. Der Durchführungsmodus wird erläutert. Jeder Schüler hat zunächst die Möglichkeit selbst ein Thema nach persönlichem Interesse auszuwählen. Dabei könnte eingegriffen werden, wenn ein schwacher Schüler ein besonders schwieriges Beispiel oder ein besonders guter Schüler ein zu leichtes Beispiel wählen würde. Anschließend werden Termine und der Zeitplan für die Präsentationen festgelegt. Die schriftliche Ausfertigung sollte jeweils in der vorhergehenden Unterrichtseinheit fertig sein und zur Kontrolle vorgelegt werden, um Fehler bei der Präsentation und in den Unterlagen für die Schulkollegen zu vermeiden. Es könnte auch noch die Möglichkeit bestehen, Besprechung konkreter Fragen bzw. Hilfestellungen sowie Literatur anzubieten. Dieses Angebot haben im konkreten Fall etwa 40% der Schüler genutzt.

Ein Beispiel eines Schülers ist am Ende des Beitrags zu finden.

4. Resümee und Ausblick:

Die schriftlichen Ausführungen waren großteils recht gut und übersichtlich gestaltet. Bei den Präsentationen stand allerdings zu oft die reine mathematische Herleitung und nicht die Verbindung zwischen der Aufgabe und der Mathematik im Vordergrund. Ich hatte manchmal den Eindruck einer "Flucht in die Formeln", da sowohl die Übersetzung des gestellten Problems in die Mathematik als auch die Interpretation der Ergebnisse trotz Vorbereitung oft große Schwierigkeiten bereitete. Diese Form der Behandlung von Anwendungsbeispielen bietet jedoch für die Schüler die Möglichkeit, sich mit solchen Schwierigkeiten auseinanderzusetzen.

Als Erweiterung wäre eine Forcieren des Einsatzes audiovisueller Hilfsmittel in Zukunft sicher wünschenswert. Vielleicht ist es auch manchem Schüler möglich CAS oder selbstgeschriebene Programme am Computer für seine Präsentation einzusetzen. Dabei wäre es sicher empfehlenswert, wenn die Schüler den Einsatz dieser Hilfsmittel schon des öfteren miterlebt haben.

Am Ende des Schuljahres (nach der Konferenz) habe ich die Schüler gebeten, auch anonym, ihren Eindruck und ihre Meinung zu diesem Modell schriftlich niederzulegen. Das Echo war durchwegs positiv. Einige Schüler hatten Probleme mit dem Einhalten der Termine.

Nachstehend einige Auszüge aus den Schülermeinungen (Mehrfachnennungen in Klammer).

5. Beispiel einer Schülerarbeit

 

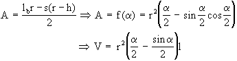
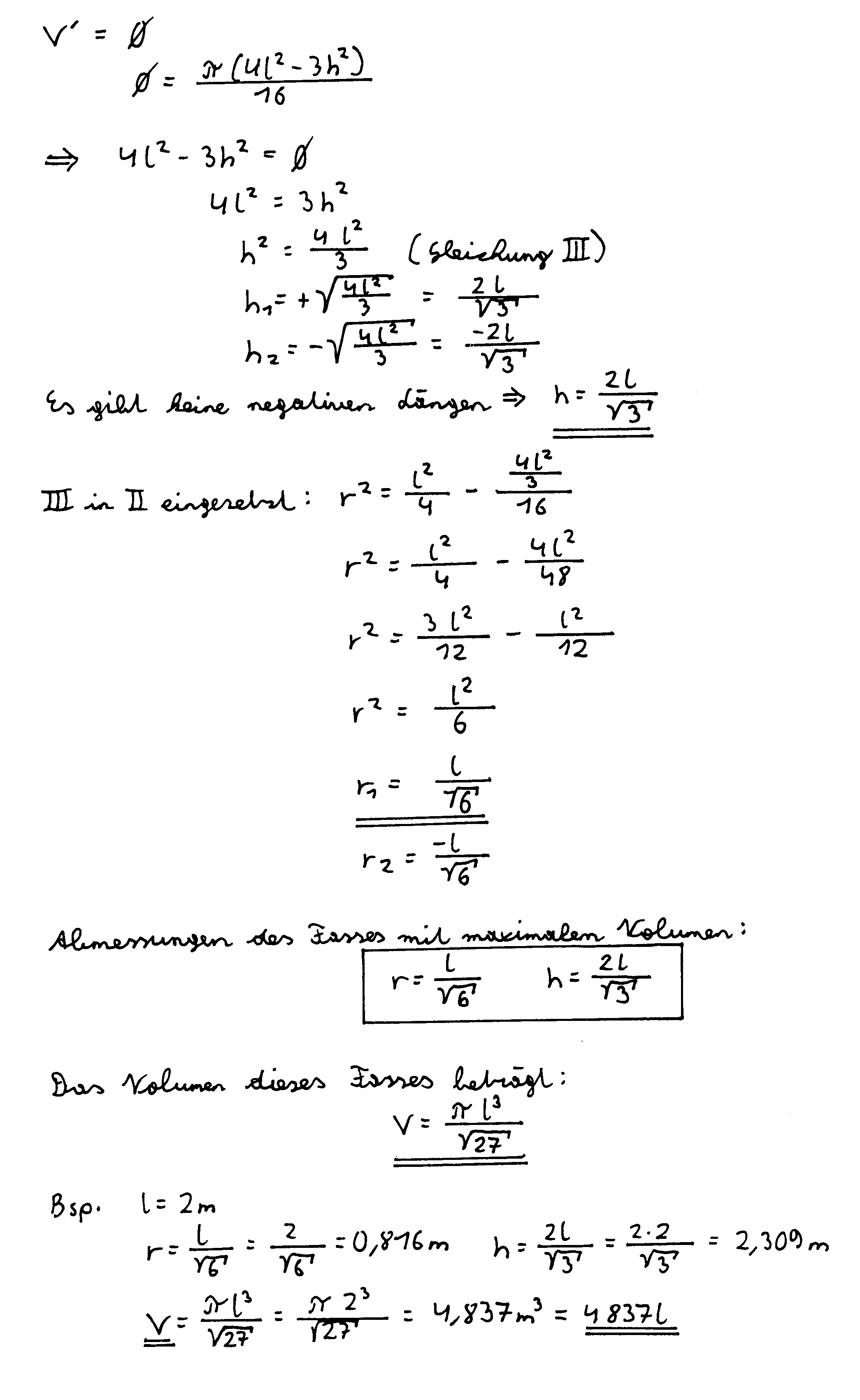
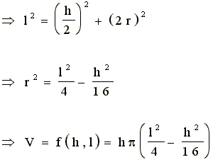
Zylindrischer Behälter

1. Das zylindrische österreichische Faß

Nebenbedingung

 

 

Stefan Röder, TGM, 1993 Zylindrische Behälter

2. Zylindrischer Kessel  

Stefan Röder, TGM, 1993