Roland Pichler, HTL Kapfenberg
 
Dynamik des freien Falls

Mathematische Inhalte:

Differentialgleichungen erster und zweiter Ordnung Anwendung: Dynamik des freien Falls mit und ohne Berücksichtigung von Auftrieb und Reibungswiderstand Kurzzusammenfassung: Die Differenzialgleichungen für den Fall eines Körpers in verschiedenen Medien werden hergeleitet und gelöst, anschließend folgt die graphische Veranschaulichung der Lösungsfunktionen. Lehrplanbezug: 4. Jahrgang Zeitaufwand: ca. 3 Stunden Mediales Umfeld: Mathcad (ab Version 5) 1. Inhalte des Beitrages Differenzialgleichungen des freien Falls Fällt ein Körper der Masse m unter Schwerkrafteinfluß (g) in einem Medium (Luft, Flüssigkeit), so kann man diesen Bewegungsvorgang unter verschiedenen Voraussetzungen beobachten:
  1. Bewegung ohne Widerstand (theoretischer Fall).
  2. Bewegung mit Reibungseinfluss, wobei der Reibungswiderstand proportional der Fallgeschwindigkeit ist. Dies gilt in weitem Rahmen für die viskose Reibung bei der Bewegung durch Flüssigkeiten (Stokes´sches Gesetz).
In allen Fällen ist es nun von Interesse, den zeitlichen Verlauf der Geschwindigkeit und des Weges anzugeben. Dazu ist es notwendig die entsprechenden Differenzialgleichungen aufzustellen und zu lösen.
Mit Hilfe von CAS lassen sich diese Gleichungen relativ einfach lösen und die Lösungen visualisieren.

1.1. Aufstellen der Differenzialgleichungen (DGL)

Aus den Sätzen der Mechanik über Kräftgleichgewichte lassen sich die entsprechenden DGL angeben.

Fall a) Bewegung ohne Widerstand (theoretischer Fall).

Im Gleichgewicht, d. h. im Moment des Fallens, ist die Summe aller angreifenden Kräfte gleich Null, somit gilt: die beschleunigende Kraft Fa ist gleich der Gewichtskraft.
Man erhält eine DGL 2. Ordnung für die Weg - Zeit Beziehung welche durch zweimaliges Integrieren lösbar ist. Nach der ersten Integration erhält man das Geschwindigkeits – Zeit Gesetz.
 
Fa = FG

FG = m² g

Fa = m² a, a = dv/dt = d2s/dt2 v = ds/dt

Anfangsbedingungen: v(0) = v0, s(0) = 0

m Masse des Körpers
s nach der Zeit t zurückgelegte Weg des Körpers
v nach der zeit erreichte Geschwindigkeit des Körpers
a Beschleunigung des Körpers
g mittlere Erdbeschleunigung

Die Integration, mit Mathcad durchgeführt, liefert folgende Gleichungen, wobei die Konstanten c1 und c2 nachträglich eingefügt werden.


 
Weg – Zeitdiagramm für v0 = 5 m/s während der Zeit der ersten 5s. Geschwindigkeits – Zeitdiagramm für v0 = 5 m/s während der ersten 5s.

Fall b) Bewegung mit Reibungseinfluss, wobei der Reibungswiderstand proportional der Fallgeschwindigkeit ist. In diesem Fall tritt nun auch Reibung auf. Fällt der Körper (Dichte r , Masse m) in einer Flüssigkeit (Dichte rFl), so ist auch der Auftrieb zu berücksichtigen. Die DGL für die Geschwindigkeit v für in Abhängigkeit von t lautet folgendermaßen, wobei die Reibungskraft von der Form FR = c v ist.
 
Kräftebilanz:  DGL: 
Division durch m liefert: 
Setzt man  und  so erhält man: 
Anfangsbedingung: v(0) = 0

Mit Mathcad erhält man die Lösung durch einmaliges Integrieren nach Trennung der Variablen:

Da Mathcad die Integrationskonstante nicht automatisch dazugibt, muss man dies selbst machen. Man erhält nun folgende Gleichung aus der man c1 berechnet:
 

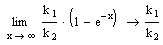
Die Funktion für den Geschwindigkeitsverlauf und die Grenzgeschwindigkeit lauten:

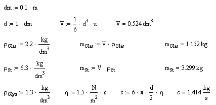
Interessant ist nun der Vergleich des Geschwindigkeits - Zeit Verlaufs zweier Kugel (r1 und r2) mit gleichem Durchmesser d, welche in einem zähen Medium (rFl) sinken, auf graphischem Weg. Die Konstante c ergibt sich nach dem Stokes´schen Gesetz zu c = 6×p×h×r (Die Bestimmung der Konstanten c ist im Anhang angeführt).

Die notwendigen Zahlenwerte sind in der nachstehende Tabelle aufgelistet.

r1
[r1] = kg/m³
r2
[r2] = kg/m³
rFl
[rFl] = kg/m³
d
[d] = m
h
[h ] = Pa× s
Alustahl: 6300 Glas: 2200 Glycerin: 1300
0.1
Glycerin: 1.5



 


 
 

Die Wegfunktion für s(t) ergibt sich durch Integration von v(t). Man erhält für die Anfangsbedingung s(0) = 0:


Die zugehörigen Graphen:

Anhang:

Bestimmung der Proportionalitätskonstante c bei Abhängigkeit der Reibungskraft von v

FR = c× v

Bewegt sich eine Kugel (Radius r) mit der Geschwindigkeit v durch ein zähes Medium (Flüssigkeit mit der Viskosität h ), so haften die unmittelbar benachbarten Flüssigkeitsschichten an der Kugel. In einiger Entfernung herrscht die Strömungsgeschwindigkeit Null. Diese Entfernung ist von der Größenordnung r. Dabei tritt ein Geschwindigkeitsgefälle von  auf. Auf der Oberfläche einer Kugel (A = 4× r2×p) × greift daher eine bremsende Kraft  an. Man erhält daher :

FR »4×p×h× r× v mit 4×p×h× r = c

(Die genauere, sehr aufwendige, Rechnung liefert: FR =6×p×h× r× v, Stokes-Gesetz)

Literatur:

Gerthsen, Physik, Springer Verlag 1974