Markus Paul, BHAK Schwaz
| TI-83 |
Mathematische Inhalte:
Finanzmathematik und Statistik
Kurzzusammenfassung:
Mit dem TI-83 ist ein preiswerter TR auf den Markt gekommen, der zwar nicht algebrafähig ist, der aber die beiden wichtigsten Anwendungsgebiete in der HAK abdeckt: Finanzmathematik und Statistik
Lehrplanbezug:
HAK-Lehrplan, II.-V. Jg.
Mediales Umfeld:
Ti-83, Graph-Link für Windows
0. Schon wieder ein neuer Taschenrechner!?
Auf diesen Rechner habe ich schon lange gewartet! Alle, auch jene die es leid sind, jedes Jahr den neuesten Taschenrechner zu kaufen, bitte ich um Aufmerksamkeit. Zwar steht er im Schatten seiner großen Brüder TI-92 und TI-89, denn er ist nicht algebrafähig. Aber mit seiner Grafikfähigkeit, seinen vordefinierten Funktionen für die Finanzmathematik und die Statistik und vor allem mit seinem Preis von zirka ATS 1200.- (!) ist der TI-83 ein Rechner, der bestens auf die Erfordernisse der Handelsakademien zugeschnitten ist.
"Taschenrechner und Computer sind im Unterricht einzusetzen", heißt es in den didaktischen Grundsätzen des HAK-Lehrplans für Mathematik 1994. Im Schulalltag sind wir Mathematiklehrer weit davon entfernt: Der Zugang zu den EDV-Sälen ist uns verwehrt, die Klassen können in Mathematik nicht geteilt werden, die Schulbuchverlage haben das neue Konzept des Lehrplans ignoriert und schließlich gibt es zu wenig Computer-Schulungen für die Lehrer.
In dieser misslichen Lage, die hoffentlich nur eine Übergangssituation ist, kann der neue TI-83 hilfreich sein, zentrale Intentionen des Lehrplans umzusetzen.
1. Finanzmathematik
1.1. Zins- und Rentenrechnung
Der TI-83 ist der erste TR von Texas Instruments, der über finanzmathematische Funktionen verfügt. Im Menü [FINANCE] findet sich der TVM-Solver (Time, Value, Money) mit folgenden Variablen:
N Anzahl der Zahlungsperioden (Number of payment periods)
I% Jahreszinssatz (Annual interest rate)
PV Barwert (Present Value)
PMT Rate (Payment Amount)
FV Endwert (Future Value)
P/Y Anzahl der Zahlungsperioden pro Jahr (Number of payment periods per
year)
C/Y Anzahl der Verzinsungsperioden pro Jahr (Number of compounding periods
per year)
PMT: END BEGIN Fälligkeit: nachschüssig oder vorschüssig
Jede der ersten fünf Variablen lässt sich berechnen, wenn
die anderen vier gegeben sind, auch der Zinssatz!
| Beispiel Bundesanleihe: (s. AMMU [9]-6)
Im November 1995 hat die Republik Österreich eine Bundesanleihe
mit 10-jähriger Laufzeit aufgelegt. Die (Nominal-) Mathematisch führt diese Aufgabe auf eine Gleichung 11. Grades. (s. AMMU [9]-6) Der TVM-Solver löst dieses Problem als Black-Box: Man gibt die folgenden Werte ein: N=10, PV=-99.75 (Ausgaben müssen negativ eingeben werden!); PMT=6.5; FV=100; P/Y=1; C/Y=1; PMT: END. |
(Bild 1) |
Nun stellt man den Cursor in die Zeile der Variable I%, mit SOLVE (=ALPHA+ENTER) ist das Problem gelöst. (Bild 1)
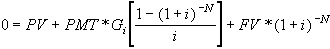
Von den drei Werten PV, PMT und FV muss zumindest einer negativ eingegeben werden, da der TI-83 die Parameter nach folgender Formel berechnet:
, wobei
der auf die Ratenperiode P/Y
bezogene äquivalente Zinssatz ist;
Gi = 1+i*k mit k = 0 bzw. 1 für Zahlungen am Ende bzw. Beginn der Periode ist der Korrekturfaktor für nach- bzw. vorschüssige Zahlungen. (vgl. Handbuch, S. A-65)
| Die Effektivverzinsung kann auch über das Menü [FINANCE] mit der Funktion irr(CF0, CFListe [,CFFreq]) (Interner Zinsfuß, internal rate of return) berechnet werden: In unserem Beispiel ist der Cashflow zum Zeitpunkt 0 CF0 = -99,75, die Cashflow-Liste ist neunmal 6,5 und im zehnten Jahr 106,5. irr(-99.75, {6.5, 106.5}, {9, 1}) liefert dasselbe Ergebnis wie der TVM-Solver. (Bild 2) |
(Bild 2) |
| Wozu ist nun diese zusätzliche Funktion
gut?
Diese Funktion ermöglicht die Untersuchung der Rendite des Wertpapiers in Abhängigkeit vom Ausgabekurs und deren graphische und tabellarische Veranschaulichung. Dazu gibt man im [Y=]-Editor den internen Zinsfuß als Funktion des Ausgabekurses ein: Y1=irr(-X,{6.5,106.5},{9,1}). Nun definiert man in [WINDOW] ein sinnvolles Ausgabefenster (Bild 3) |
(Bild 3) |
| und lässt sich die Funktion mit [GRAPH] zeichnen. Man erhält eine fallende Funktion: Je höher der Ausgabekurs, desto kleiner ist die Rendite! Der Graph kann mit [TRACE] abgetastet werden. (Bild 4) |
(Bild 4) |
| Die Rendite als Funktion des Ausgabekurses kann auch als Tabelle ausgegeben werden. Dazu definiert man in [TBLSET]: TblStart = 80 und DTbl = 5 und erhält mit [TABLE] eine tabellarische Übersicht. (Bild 5) |
(Bild 5) |
| Die grafische und tabellarische Darstellung legen nun die Frage nahe, bei welchem Ausgabekurs eine bestimmte Rendite, etwa 8 % erzielt wird. Der Tabelle kann entnommen werden, dass der Ausgabekurs etwa bei 90 liegen muss. Dieser kann exakt auf mehrere Arten ermittelt werden: | |
| 1. Grafisch: Man definiert eine zweite Funktion Y2 = 8 und lässt den TI-83 im Menü [CALC] > 5:intersect den Schnittpunkt der beiden Funktionen Y1 und Y2 berechnen. (Bild 6) (Man kann auch die Differenz-Funktion Y1=irr(-X,{6.5,106.5},{9,1})-8 definieren und dann die Nullstelle bestimmen lassen mit [CALC] > 2:zero.) |
(Bild 6) |
| 2. mit SOLVER: Im Menü [MATH] > 0:Solver
gibt man als Gleichung ein:
eqn: 0=Y1-8 Als Näherungswert wählt man X = 90, mit SOLVE (= ALPHA+ENTER) liefert der Rechner (nach längerer Rechenzeit) die Lösung 89,93...(Bild 7) |
(Bild 7) |
Analog kann die Rendite der Anleihe in Abhängigkeit vom Auszahlungkurs am Ende der Laufzeit untersucht werden. Angenommen, der Ausgabekurs beträgt 100, wie hoch muss der Auszahlungskurs sein, um eine Rendite von 8 % zu erzielen?
Man definiert die Funktion Y1=irr(-100,{6.5,X+6.5},{9,1}) und erhält nun eine wachsende Funktion: Je höher der Auszahlungskurs, desto höher die Rendite! Für die Rendite 8 % findet man einen Kurs von 121,73.
Mit dem TI-83 sind somit finanzmathematische Untersuchungen - im Klassenzimmer! - möglich, die bisher undenkbar waren. Didaktisch kommt die von Heugl u.a. propagierte Window-Shuttle-Technik zum Tragen: Komplizierte Abhängigkeiten lassen sich grafisch und tabellarisch veranschaulichen und durch den ständigen Wechsel der Darstellungsarten vertiefen. Dazu Dörfler: "Um das 'Prototypische' als invariante Eigenschaft erkennen zu können, muss der Prototyp öfter Veränderungen unterworfen werden." (zit. in Heugl u.a., S.199)
1.2. Tilgungspläne:
Neben den Cashflow-Funktionen Interner Zinssatz irr und Kapitalwert npv verfügt der TI-83 über Funktionen für Schuldtilgung, die über die gespeicherten Werte für N, PV, I% und PMT berechnet werden:
bal(K, [Genauigkeit]) Restschuld nach K Zahlungen (balance)
SPrn(K, M, [Genauigkeit]) Summe der Tilgungen
der Zahlungen K bis M (principal)
SInt(K, M, [Genauigkeit]) Summe der Zinsen der
Zahlungen K bis M (interest)
| Beispiel: Eine Schuld von S 100.000.-
soll in 10 Jahren bei einem Zinssatz i = 5 % zurückgezahlt werden.
Erstelle einen kompletten Tilgungsplan!
Mit dem TVM-Solver können die Daten eingegeben und die Annuität berechnet werden, sie beträgt 12.950,46. (Bild 8) |
(Bild 8) |
| Mit Hilfe von Listen und Folgen kann der komplette
Tilgungsplan erstellt werden. Dazu definiert man vier Listen über
das Menü [STAT] > 1:Edit > INS > Name folgendermaßen:
JAHR="seq(X,X,1,N) seq(Ausdruck, Variable, Anfangswert, Endwert [,Schrittweite]) liefert eine Liste des ausgewerteten Ausdrucks in Abhängigkeit der Variable für alle Werte vom Anfangs- bis zum Endwert. seq wird aus dem Menü [LIST] > OPS > 5:seq aufgerufen; die Laufzeit N aus dem Menü [FINANCE] > VARS > 1:N. Durch die Anführungszeichen - " - bleibt die Eingabe als veränderbare Formel erhalten, durch das negative Vorzeichen bei ZINS und TILG erhalten wir positive Beträge. Nun definiert man über [STAT] > 5:SetUpEditor mit |
(Bild 10) |
| Änderungen der Variablen N, PV, I% und PMT passen den Tilgungsplan nun automatisch an. Soll beispielsweise die Schuld von 100.000.- bei 5 % durch Annuitäten in der Höhe von 10.000.- getilgt werden, lässt man vom TVM-Solver die Laufzeit berechnen. Es ergeben sich 14 volle und eine Rest-Annuität. (Bild 11) |
(Bild 11) |
| Schaltet man nun zu [STAT] > 1:Edit um, so findet man hier den angepassten Tilgungsplan. (Bild 12) |
(Bild 12) |
| Visualisierung:
Die Entwicklung der Zinsen und der Tilgungen kann mit Statistik-Plots grafisch dargestellt werden. Im Menü [STAT PLOT] > 1:Plot 1 definiert man als Xlist das Jahr, als Ylist den Zins, in 2:Plot 2 als Ylist die Tilgung. Dazu müssen die Listen JAHR, ZINS und TILG aus dem Menü [LIST] > NAMES aufgerufen werden. (Bild 13) |
(Bild 13) |
| Nun muss über [WINDOW] ein geeigneter Ausschnitt definiert werden, etwa das Intervall [0, 10] für die X-Werte und [0, 15000] für die Y-Werte. Mit [GRAPH] können nun Zinsen und Tilgungen grafisch dargestellt werden. (Bild 14) |
(Bild 14) |
Dadurch kann im Mathematik-Unterricht die Aufgabendidaktik zurückgedrängt werden. Bisher lauteten die Aufgaben zur Schuldtilgung: Berechne eine Tilgungszeile, erstelle einen Tilgungsplan! Nun kann ein Problem gestellt werden: Wie ändert sich ein Tilgungsplan, wenn man bestimmte Parameter verändert. Man kommt dadurch von quantitativen zu qualitativen Aussagen. Die Dynamik von Verschuldung, sei es die von Privathaushalten oder die von Staaten, lässt sich so viel tiefer erfassen als durch rein numerische Aufgaben.
2. Statistik
Selbstverständlich berechnet der TI-83 die wichtigsten Kennzahlen der deskriptiven Statistik. Weiters berechnet er alle möglichen Regressionskurven, auch logistische und Sinus-Kurven! Hier ist er sogar dem TI-92 überlegen. Diese beiden Regressionstypen bewältigt erst der TI-92 Plus Modul!
Die Stärke des TI-83 liegt aber in der Wahrscheinlichkeitsrechnung und in der beurteilenden Statistik. Hier kommt der TI-83 dem neuen Lehrplan der HAK gerade gelegen. Denn in den V. Jahrgang wurde ausdrücklich die beurteilende Statistik (Schätzverfahren, Testen von Hypothesen) aufgenommen. Ein Rätsel bleibt allerdings, wie diese sinnvoll nach der Kürzung auf zwei Wochenstunden (!) im V. Jahrgang zu bewältigen sein soll.
Beispiel: Simuliere das Werfen eines Würfels!
| Im Menü [MATH] > PRB können Zufallszahlen erzeugt werden. Der Zufallsgenerator kann durch die Funktion rand initialisiert werden, etwa durch die ersten vier Ziffern einer Sozialversicherungsnummer 1143. Mit randInt(1,6,5) werden fünf ganze Zufallszahlen zwischen 1 und 6 erzeugt. Durch mehrmaliges Betätigen der ENTER-Taste werden weitere Listen mit Würfelzahlen erzeugt. (Bild 16) |
(Bild 16) |
| Durch randInt(1,6,120) wird eine Liste von 120 Würfelzahlen erzeugt, die sich in der Liste L1 speichern lässt. Wird wieder mit 1143 initialisiert, so ergeben sich dieselben Zufallszahlen wie oben. (Bild 17) |
(Bild 17) |
Diese 120 Wurfzahlen lassen sich mit [STAT PLOT] darstellen. (Bild 18)
Lässt man noch den Erwartungswert µ = 20 im [Y=]-Editor durch
Y1 = 20 zeichnen, so erhält man für entsprechende [WINDOW]-Einstellungen
(Bild 19) ein Histogramm der Wurfzahlen. (Bild 20)
(Bild 18) |
(Bild 19) |
(Bild 20) |
Will man öfter würfeln, stößt man bald an die Speichergrenzen. Es empfiehlt sich, ein kleines Programm zu schreiben: im Menü [PRGM] > New > 1:Create New kann das Programm mit dem Namen WUERFELN eingegeben werden:

| Mit der Variablen A wird der Zufallsgenerator initialisiert, mit N wird die Wurfzahl eingegeben. Jeder Wurf erhöht die Häufigkeit der entsprechenden Augenzahl in der Liste W (Bucketsort). Schließlich wird ein Histogramm gezeichnet. (Bild 21) |
(Bild 21) |
| Im Menü [STAT] > 1:Edit kann die Liste W mit den Häufigkeiten aus dem Menü [LIST] > NAMES mit INS eingefügt werden, ebenso die Liste L5. (Bild 22) |
(Bild 22) |
Beispiel: Zu erwarten wären 100 Sechser, wir haben aber 113 erhalten. Ist das ungewöhnlich? Ist der Würfel gezinkt? (a = 5 %)
Binomial- und Normalverteilung
Wir haben ein Bernoulli-Experiment vorliegen mit N = 600 und einer Erfolgswahrscheinlichkeit p = 1/6. Die Anzahl X der auftretenden Sechser ist binomialverteilt.
Wir bestimmen P(X £ 113) mit Hilfe der Funktion
binomcdf(600,1/6,113) aus dem Menü [DISTR] > DISTR > A:binomcdf (cdf steht für cumulative density function) und erhalten das Ergebnis 0,9286
Immerhin in über 7 % der Fälle ist die Anzahl der Sechser noch höher. So ungewöhnlich sind die 113 Sechser also doch nicht. Für eine Irrtumswahrscheinlichkeit a = 5 % kann nicht angenommen werden, dass der Würfel gefälscht ist.
Da die Laplace-Bedingung np(1-p) = 83,333 > 10 erfüllt ist, kann die Binomialverteilung durch die Normalverteilung angenähert werden mit µ = 100 und s = Ö (500/6). Mit Stetigkeitskorrektur liefert
normalcdf(-1E99,113.5,100,Ö (500/6)) das Ergebnis 0,9304
Der relative Fehler beträgt lediglich 0,19 %. Dies zeigt eindrucksvoll,
wie gut die Approximation durch die Normalverteilung ist.
| Mit der Funktion
ShadeNorm(-1E99,113.5,100,Ö (500/6)) aus dem Menü [DISTR] > DRAW kann der Sachverhalt visualisiert werden. Für den X-Bereich [80; 120] und den Y-Bereich [-0.02; 0.08] erhalten wir das Bild 23. |
(Bild 23) |
Konfidenzintervall:
Wir können bei den 600 Ausführungen des Bernoulli-Experiments
"Würfeln" bei 113 beobachteten Sechsern für die Wahrscheinlichkeit
p ein Konfidenzintervall [pu; po]
angeben.
| p wird geschätzt durch s wird geschätzt durch Für das Konfidenzniveau g = 0,95 ergibt sich der z-Wert 1,96. Somit erhalten wir das Konfidenzintervall
1/6 liegt in diesem Konfidenzintervall. Dieses Konfidenzintervall kann der TI-83 im Menü [STAT] > TESTS > A:1-PropZInt berechnen: Bild 24 und Bild 25 |
(Bild 24)
(Bild 25) |
| Hypothesentest:
Hypothese H0: µ = 1/6 Alternativ-Hypothese H1: µ > 1/6 Für die Irrtumswahrscheinlichkeit a = 5 % ergibt sich der z-Wert 1,96. Die kritische Grenze c = µ +z·s = 100 + 1,96·9,18 = 117,9. 113 liegt also nicht im kritischen Bereich. Dies ist die übliche Arbeitsweise mit den Tabellen: Man bestimmt eine kritische Grenze für eine vorgegebene Irrtumswahrscheinlichkeit und prüft, ob die beobachtete Prüfgröße innerhalb oder außerhalb des Annahmebereichs liegt. Anders arbeitet der TI-83. Er berechnet für den X-Wert 113 den
z-Wert z = |
(Bild 26)
(Bild 27) |
c²-Anpassungstest:
Bisher haben wir nur die Häufigkeit des Sechsers untersucht. Mit einem c²-Test kann überprüft werden, ob die empirische Verteilung der simulierten Wurfzahlen der Gleichverteilung entspricht.
Die Abweichung
(Oi
die beobachteten (observed) und Ei die erwarteten (expected)
Werte) lässt sich mit dem Listenbefehl
sum((LW-100)²/100) aus dem Menü [LIST] > MATH >
5:sum berechnen: 6,78
| Mit Hilfe einer Tabelle kann man nun für
m = 6-1 = 5 Freiheitsgrade die kritische Grenze für p = 0,95
bestimmen und erhält den Wert 11,07. Weil 6,78 < 11,07 ist, kann
die Hypothese der Gleichverteilung nicht verworfen werden.
Anders arbeitet wieder der TI-83: Mit c²cdf(0,6.78,5) aus dem Menü [DISTR] > DISTR > 7:c²cdf erhalten wir P(c² £ 6.78) = 0,7624... für 5 Freiheitsgrade. (Bild 28) Weil diese Wahrscheinlichkeit kleiner als 0,95 ist, kann die Hypothese der Gleichverteilung nicht verworfen werden. |
(Bild 28) |
| Mit Shadec²(0,6.78,5) aus dem Menü [DISTR] > DRAW > 3: Shadec² lässt sich die berechnete Wahrscheinlichkeit für den X-Bereich [0; 20] und den Y-Bereich [-0,05; 0,2] auch noch visualisieren und man erhält wieder für eine numerische Lösung eine herrliche grafische Veranschaulichung (Bild 29). |
(Bild 29) |
Man sieht: Durch den TI-83 werden sämtliche Tabellen für die Statistik überflüssig, weil sich Werte der Verteilungsfunktionen exakt berechnen lassen. Der TI-83 verfährt somit gleich wie das Programmpaket SPSS. Meiner Meinung nach erleichtert der TI-83 deshalb den Umstieg auf ein professionelles PC-Statistik-Programmpaket.
3. Didaktisches
3.1. Der TI-83 als Tool
Was kann der TI-83 außer der Finanzmathematik und der Statistik? Sehr viel! Hier eine kleine Leistungsschau:
3.2. Der TI-83 als Tutor
Wie kann der TI-83 als didaktisches Werkzeug eingesetzt werden?
Über einen VIEW-SCREEN kann der Bildschirm des TI-83 auf einen Overhead-Schirm projiziert werden. Dazu braucht der Lehrer eine spezielle Lehrerversion mit einer Schnittstelle zum View Screen!
Über ein Verbindungskabel können Daten und Programme von einem TI-83 zu einem anderen übertragen werden.
Über TI-Graph-Link können Daten und Programme vom TI-83 in einen PC übertragen werden. Im Graph-Link lassen sich Programme sehr komfortabel schreiben, bearbeiten und ausdrucken. Weiters kann man den Bildschirm des TI-83 in den PC übertragen (Menü LINK > Bildschirm empfangen) und über die Zwischenablage in ein WORD-Dokument einbinden. (Die Bilder dieses Beitrags wurden so erstellt.) Damit können sehr bequem Grafiken des TI-83 in Skripten, Übungsblätter oder Schularbeiten-Angaben eingefügt werden.
Über die Zwischenablage können Daten auch ins EXCEL exportiert werden, umgekehrt funktioniert es aber nicht!
Über das Internet können von der Home-Page von Texas Instruments
Programme heruntergeladen werden, zum TI-83 gibt es Newsgroups.
Nett lässt sich mit dem Zufallsgenerator spielen. Beim Programm
LINFU wird aus Zufallszahlen der Graph einer linearen Funktion erzeugt,
deren Steigung und Achsenabschnitt bestimmt werden müssen, bei POTENZ
der Graph einer Potenzfunktion, deren Grad und Koeffizient zu bestimmen
sind. Das Programm zählt mit, wie oft der Funktionsterm richtig bestimmt
worden ist. Dasselbe kann man für weitere Funktionstypen machen, etwa
Winkelfunktionen. (Die Idee dazu habe ich von Josef Böhm, der das
für den TI-92 programmiert hat.) Mit dem Potenz-Spiel war ich heuer
sehr erfolgreich: Innerhalb kürzester Zeit konnten praktisch alle
SchülerInnen den Typ der Potenzfunktionen mit Stauchungen/Streckungen
bestimmen. (zum Herunterladen: LINFU.83P,
POTENZ.83P)
![]() |
![]() |
![]() |
![]() |
Die Programmiersprache bietet vielfältige Möglichkeiten der
grafischen Gestaltung. So können etwa Programmabläufe die Entstehung
der Winkelfunktionen durch Abwicklung des Einheitskreises demonstrieren
(zum Herunterladen: WIFU.83P)
oder den Übergang der Sekanten- in die Tangentensteigung. Dies kann
einerseits als Tutor vom Lehrer über View-Screen demonstriert werden,
andererseits können solche Programme den Schülern über das
Verbindungskabel zur Verfügung gestellt werden.
![]() |
![]() |
![]() |
Mit dem TI-83 hat die traditionelle Aufgabendidaktik weitgehend ausgedient. Die meisten technischen Aufgaben in den Schulbüchern reduzieren sich auf reine Tipparbeiten. Wie muss nun der Mathematikunterricht gestaltet werden? Welche Aufgaben bzw. Problemstellungen sind nun angemessen? Der Unterricht bekommt mit dem TI-83 einen experimentellen Charakter. Ich lasse die Schüler viel probieren, bevor ich mit der mathematischen Theorie auffahre, d.h., die von Heugl u.a. beschriebene Kreativitätsspirale bestimmt den Unterricht: An einführenden Aufgaben werden Beobachtungen gemacht, die zu Vermutungen und intuitiven Begriffen und Regeln führen. Erst danach wird exaktifiziert. Wie soll das konkret ablaufen? Welche Problemstellungen sind geeignet? Leider stehe ich mit dieser Frage im Regen. Für mich ist es eine Überforderung, den gesamten Mathematikunterricht umzustellen. Hier wären die Schulbuchautoren und die Didaktik-Institute gefordert. Allerdings lässt sich ein experimenteller Unterricht nicht mehr nach dem Raster eines Schulbuchs abwickeln. Die Schüler entwickeln Ideen, auf die der Lehrer reagieren muss. Lehrplan und Lehrstoffverteilung werden dadurch oft auf den Kopf gestellt. Den Unterricht experimentell zu gestalten sehe ich als die größte Herausforderung, die durch die Computersysteme auf uns zukommt.
3.3. Freaks und Verweigerer
Christian ist ein ruhiger und sehr höflicher Schüler. In Mathematik ist er zwar kein Spitzenschüler, er gehört aber zu den besseren Schülern. Wenn es aber um den Computer geht, wächst er über sich hinaus. Schon wenige Tage, nachdem ich die Taschenrechner in der Klasse ausgegeben hatte, hatte Christian die ersten Programme geschrieben und kannte sich auf dem Rechner besser aus als ich. Natürlich fragen mich die Schüler bei jedem Mathematikkapitel: "Gibt's dafür ein Programm?" Meistens weiß ich selber noch nicht, wie man den TI-83 sinnvoll einsetzen kann. Christian ist immer sehr aufmerksam. Wenn er etwas verklärt zur Decke blickt, weiß ich: Er führt wieder etwas im Schilde. Wenn er dann in der nächsten Mathematik-Stunde von einem Ohr zum anderen grinst, weiß ich: Er hat wieder ein Programm geschrieben. Wenn es bei der Ankündigung des Schularbeitenstoffs keine Proteste gibt, weiß ich: Er hat das Programm der ganzen Klasse zur Verfügung gestellt. Nach der Schularbeit rückt er dann heraus. Er hat zum Beispiel ein Programm geschrieben, das Dezimalzahlen mit Wurzeln vergleicht und dann die Wurzel ausgibt. Ein weiteres Programm nutzt den Rechner mit Hilfe der String-Funktionen als Telefonverzeichnis. Er konnte es kaum erwarten, das TI-Graph-Link zu bekommen und in der Homepage von Texas Instruments zu surfen. Ist es nicht herrlich, solch einen Schüler unterrichten zu dürfen? Der TI-83 setzt kreative Potentiale frei, die ich mir nie erwartet hätte.
Natürlich setzen die Schüler ihre Kreativität auch für zweckentfremdete Nutzung des TI-83 ein. Schon nach kurzer Zeit fand ich auf den Schüler-Rechnern Programme mit so seltsamen Namen wie BWL oder CHEMIE. So sah ich mich veranlasst, die geschätzte Kollegenschaft in einer Konferenz darauf hinzuweisen, dass der neue Rechner auch als elektronischer Schwindelzettel benutzt werden kann. Tatsächlich hatte sich der Chemie-Lehrer schon über die pädagogischen Erfolge gewundert, die er in letzter Zeit in den Klassen mit dem neuen Rechner erzielen konnte.
Leider verweigern sehr viele Schüler, vor allem Schülerinnen, sich mit dem Rechner zu beschäftigen. Wenn ich als Hausübung ein Exzerpt eines Kapitels aus dem Handbuch verlange, gibt es bei vielen Schülerinnen einen Aufschrei. Sie wollen sich nicht damit beschäftigen. Für sie bleibt die Maschine ein unheimliches Ding, das seltsame Zeichen ausgibt. Nicht sie haben den Rechner in der Hand, der Rechner hat sie. Dies zeigt, was schon die Erfahrung aus vielen Computeralgebra-Projekten gebracht hat: Die guten Schüler werden noch besser, die schlechten noch schlechter.
4. Ärger trotz allem
Jenseits des Jubels über den TI-83 beschert dieser Rechner leider auch sehr viel Ärger. An erster Stelle die Variablennamen für reelle Zahlen. Als Namen stehen nämlich nur die 27 Buchstaben A, B, ...Z, q zur Verfügung, während für Listen Bezeichner mit bis zu fünf Buchstaben vergeben werden können. Durch diese Einschränkung auf Variablennamen mit nur einem einzigen Buchstaben können keine "sprechenden Variablennamen" definiert werden, etwa HA (für Höhe auf a) oder auch nur A1, A2, usw. Der TI-83 interpretiert nämlich HA als Produkt der Variablen H und A, A1 interpretiert er als A*1, A2 als A*2 usw. Ich vermute, dass diese Syntax der Hintergrund für die Einschränkung der Variablennamen ist. Um es den Schülern leichter zu machen, spart man sich den Multiplikationsoperator: "Auf dem TI-83 geben Sie einen Ausdruck genauso ein, wie Sie ihn auf Papier schreiben würden, pR² ist z.B. ein Ausdruck." (TI-83-Handbuch, S.1-7) Damit hat Texas Instruments allerdings den Schülern einen Bärendienst erwiesen: Wo gibt es diese Schlamperei sonst, dass der Multiplikationsoperator nicht eingegeben werden muss? Weder bei EXCEL noch bei irgendeinem Computeralgebrasystem. Man erschwert den Schülern so nur den Transfer auf PC-Programme. (Ist das vielleicht beabsichtigt?) Dazu kommen noch verwirrende syntaktische Feinheiten bei verschiedenen TI-Modellen: "Hinweis: Die implizierten Multiplikationsregeln des TI-83 unterscheiden sich von denen des TI-82. Der TI-83 wertet beispielsweise 1/2X als (1/2)*X aus, wohingegen der TI-82 1/2X als 1/(2*X) berechnet." (TI-83-Handbuch, 1-26 und 19-14) Was soll das? Das kann man nicht anders als groben Unfug bezeichnen! Soll doch Texas Instruments endlich diedie international üblichen Syntax-Regeln der CAS übernehmen! Diese Disziplinierung schadet weder Texas Instruments noch irgendeinem Schüler.
Dieselbe Verrohung syntaktischer Sitten ist bei den Klammernregeln zu bemängeln. Der TI-83 öffnet hinter den Funktionen automatisch eine Klammer, die aber nicht mehr geschlossenen werden muss: Der Ausdruck Ö (2 wird so akzeptiert. Wehe, wehe, wenn dieser Ausdruck in einer Verkettung steht: für sinÖ 2 + 1 müssen natürlich alle Klammern brav geschlossen werden: sin(Ö (2))+1. Das führt bei den Schülern zur völligen Verwirrung: Herr Professor, wann müssen wir denn nun eine Klammer setzen?
Und noch einige Kleinigkeiten, die nerven:
Literarische und sonstige Hinweise
Texas Instruments hat im Eigenverlag zwei hervorragende Bücher zur Statistik und Finanzmathematik herausgebracht:
Larry Morgan: Statistics Handbook for the TI-83. Texas Instruments 1997. 157 S.
Charles & Roseanne Hofmann: Time, Value, Money: Applications on the TI-83. Texas Instruments 1997. 70 S.
Diese beiden Titel können bei CSC (Costumer Support Center) unter Tel.: 01/502910007 mit Kreditkarte bestellt werden. Sie kosten ATS 329.- bzw. ATS 239.-, ein stolzer Preis für 157 bzw. 70 Seiten!
In der Neuauflage eines approbierten Lehrbuchs für 1998/99 wurde der Einsatz des TI-83 aufgenommen:
Schneider/ Thannhauser/ Girlinger/ Tinhof: Mathematik für HAK. Linz: Trauner-Verlag.
Man darf gespannt sein auf diese Neuauflage!
Mag. Friedrich Tinhof bietet Seminare zum TI-83 an, für die Texas Instruments Testrechner zur Verfügung stellt. Hier die Kontaktadresse:
Mag. Friedrich Tinhof, Hauptstr. 1, 7052 Müllendorf
Tel. und FAX: 02682/64608
e-mail: tinhof@netway.at
Programme für den TI-83 können von der Homepage von Texas Instruments heruntergeladen (wie heißt das? downgeloaded?) werden:
dort weiter zu Menü "Calculators" "TI-83" "Program Archivs" oder gleich über:
ftp://archive.ppp.ti.com/pub/graph-ti/ti83
Insbesondere findet man dort Programme, die im Statistik-Buch von Larry Morgan im Anhang aufgelistet sind.
Didaktische Literatur: Helmut Heugl, Walter Klinger, Josef Lechner: Mathematikunterricht mit Computeralgebra-Systemen. Ein didaktisches Lehrbuch mit Erfahrungen aus dem österreichischen DERIVE-Projekt. Bonn, Reading, Massachusetts u.a.: Addison-Wesley 1996.