Günter Redl, Höhere technische Bundeslehr- und Versuchsanstalt Mödling
| Ein Kegelschnittbeispiel |
Kurzzusammenfassung:
Zunächst wird eine exakte Differentialgleichung gelöst. Die entstehende Kurvenschar wird mit dem TI 92 visualisiert. Die Vermutung, daß es sich um eine Ellipsenschar handelt, wird anschließend nachgewiesen.
Lehrplanbezug:
4. Jahrgang: Differentialgleichungen, Kegelschnitte
Zeitaufwand:
1 bis 2 Doppelstunden
Mediales Umfeld:
TI 92
1. Eine Ellipsenschar als Lösung einer exakten Differentialgleichung:
Ausgangspunkt der Überlegungen ist folgende exakte Differentialgleichung:
![]()
Lösung: (Details können im Beitrag 5 der AMMU Aussendung 11 nachgelesen werden)
Wir setzen P(x,y) = 10x+4y-32 und Q(x,y) = 16y+4x-56 und berechnen
sowie
. Die Integrabilitätsbedingung
ist also erfüllt.
Wir erhalten die Lösung durch folgenden Ansatz:
;
also gilt
.
wird
mit Hilfe der Gleichung
berechnet.
Dazu leiten wir das soeben berechnete u(x,y) partiell nach y ab und setzen
das Ergebnis gleich Q(x,y).
Es ergibt sich:
![]()
![]()
.
Das allgemeine Integral der Differentialgleichung in impliziter Form lautet also:
.
Visualisierung der Kurvenschar mit dem TI92:
Um die Kurvenschar darzustellen, wird die Gleichung nach y aufgelöst. Die beiden Lösungen speichert man unter verschiedenen Namen und kann dann die Kurven im Grafikfenster darstellen (eine andere Möglichkeit wäre ein Umrechnen in Polarkoordinaten).


Das Ergebnis läßt vermuten, daß es sich um eine Ellipsenschar handelt!
2. Darstellung einer speziellen Kurve in Hauptlage:
Um eine spezielle Kurve genauer zu analysieren, werden zwei Transformationen durchgeführt. Wir wählen die innerste Kurve (C = 80). Diese Kurve soll zuerst in Mittelpunktslage gebracht werden. Dazu wird sie um den Vektor (mx / my) verschoben. Man ersetzt zuerst x durch xa (x alt) und y durch ya und anschließend xa durch x + mx und ya durch y + my.
![]()
In der neuen Gleichung sollen die linearen Glieder verschwinden.
Durch Nullsetzen der Koeffizienten von x und y und Lösen des entstehenden
Gleichungssystems erhalten wir mx und my, also die
Koordinaten des Mittelpunkts. Die neue Gleichung lautet:
.
Das Ergebnis wird wieder im Grafikfenster überprüft.


Zuletzt wird eine Drehung durchgeführt, welche die Kurve in eine
symmetrische Lage bezüglich der Koordinatenachsen transformiert (4
Lösungen für den Drehwinkel, 2 für die gedrehte Kurve!).
Eine Drehung um den Winkel j wird durch die
Transformation
erreicht.

In der so umgeformten Gleichung muß das gemischtquadratische Glied
verschwinden. Man setzt daher den Koeffizienten von xy gleich 0 und löst
die entstehende Gleichung nach j (Gleichung
vor dem Lösen mit "tCollect()" umformen!!). Die Lösungsmenge
dieser trigonometrischen Gleichung ist unendlich groß, daher enthält
die TI 92 Lösung "
nr".
Diese Variable kann mit jeder ganzen Zahl belegt werden. Wir benutzen 0
und 1 und erhalten die zwei möglichen Kurvengleichungen (am Ende "Approximate
Mode" benutzen oder durch "
ENTER" erzwingen).

Da die Drehwinkel nicht ganzzahlig sind, liefert der TI 92 keine absolut exakte Lösung. Wir adaptieren daher die Lösungen vor der Kontrolle im Grafikfenster:


Das Ergebnis läßt vermuten, daß es sich um eine Ellipse mit den Halbachsen a = 3 und b = 2 handelt!
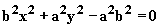
Die Gleichung der folgenden Ellipse mit gegebenen Halbachsen a und b soll berechnet werden:
Scheitel: A(-a/0); B(a/0); C(-b/0); D(b/0)
Brennpunkte:
mit ![]()

Als Ansatz benutzt man die Brennpunktsdefinition der Ellipse: für jeden Punkt der Ellipse ist die Summe der Abstände zu den Brennpunkten konstant = 2a.
Für einen Ellipsenpunkt P(x/y) muß also
gelten.
Diese Gleichung wird mit dem TI 92 bearbeitet. Wie bei jeder Wurzelgleichung
sind "händische" Umformungen notwendig. Man kommt jedoch
rasch zum gewünschten Ergebnis:

Die gesuchte Ellipsengleichung lautet:
.
Bei der speziellen Lösungskurve der ursprünglichen Differentialgleichung
handelt es sich also tatsächlich um eine Ellipse mit den Halbachsen
a = 3 und b = 2!