Markus Paul, BHAK Schwaz
| Projekt Aktienanalyse |
Mathematische Inhalte:
Deskriptive Statistik, Regressions- und Korrelationsrechnung, Extremwertprobleme
Kurzzusammenfassung:
Als Projekt über zwei bis drei Monate können im Mathematikunterricht Aktienkurse beobachtet und charakteristische Kennzahlen berechnet werden
(siehe Beitrag 3 "Aktienanalyse" in AMMU 10)
Lehrplanbezug:
V. Jg. HAK, 4. Jg. HTL, 8. Kl. AHS (Statistik- und Analysis-Unterricht)
Mediales Umfeld:
Tabellenkalkulation EXCEL
Anmerkungen:
Die Börse bietet für interessierte LehrerInnen Fortbildungsveranstaltungen an. Auskünfte erteilen bei der Wiener Börse, Wipplingerstr. 34, 1013 Wien, Frau Mag. Edith Frank (Tel: 0222/534 99/401) bzw. Frau Duhoslav Kl. 444.
Als Arbeitsunterlagen können dort der aktuelle "Jahresbericht der Wiener Börse", die laufenden "Monats-Berichte" oder die Börsen-Zeitschrift "Ticker" angefordert werden.
Für ein Projekt kann über den Verein ZiS (Zeitung in der Schule), Schreyvogelgasse 3, 1010 Wien, Tel: 0222/53361 78-0 für 12 Wochen ein Gratisabonnement (pro Schüler!) einer Tageszeitung (etwa STANDARD oder Presse) bestellt werden, um die Aktienkurse der Wiener Börse zu verfolgen.
1. Chronologie eines Projektes
Der Statistik-Unterricht ist nur dann sinnvoll, wenn auch konkrete Daten erhoben und diese mit statistischen Methoden ausgewertet werden. Für unseren Schultyp (Handelsakademie) bieten sich Aktienkurse als Datenmaterial an.
Anfang November 1996 teilte ich den SchülerInnen meiner Matura-Klasse mit, daß ich mit ihnen ein Projekt zum Thema Aktienanalyse machen möchte. Dieser Vorschlag stieß auf verhaltenes Interesse und ich leitete weitere Schritte ein: Ich stellte den SchülerInnen den "Bericht der Wiener Börse 1995" zur Verfügung und bestellte für die Monate Dezember und Jänner über den Verein "Zeitung in der Schule" die Tageszeitung DER STANDARD für die ganze Klasse. Bis Mitte November mußten die SchülerInnen in Zweiergruppen ein Portfolio von drei Aktien zusammenstellen.
Ab 1. Dezember trudelte täglich ein Paket mit dem STANDARD in der Schule ein. Die Gruppen sammelten die Börsenkurse für "ihre" Aktien und konnten nebenbei gratis den STANDARD lesen. Manchmal versickerte allerdings das Zeitungspaket irgendwo in der Schule. Da war es gut, daß ich selber als STANDARD-Abonnent die fehlenden Kurse nachtragen konnte.
Während die Kurse erhoben wurden, führte ich die Klasse in die deskriptive Statistik ein: Häufigkeitsverteilungen, Mittelwerte, Streuungsmaße. Durch Umbenennung wichtiger statistischer Kennzahlen wurde die Aufgabenstellung der Aktienanalyse schon greifbar: Die Durchschnittsrendite entspricht dem arithmetischen Mittel, die Volatilität der Standardabweichung.
Ausführlich behandelte ich die zweidimensionale Statistik: Kovarianz, Korrelation, Bestimmtheitsmaß, lineare Regression erster und zweiter Art. Eine besonders mystische Aktienkennzahl, der "Beta-Faktor", ergibt sich als Abfallprodukt: der Beta-Faktor ist nichts anderes als der Regressionskoeffizient des ATX und einer Aktie. Diese Berechnungen führten wir exemplarisch anhand der von mir gesammelten Daten (AMS, FLU, OMV) mit EXCEL durch und übten die Darstellung der Aktienkurse in Charts.
Ende Jänner hatte ich die Statistik abgeschlossen und die Phase der Datenerhebung war abgeschlossen. Am 31. Jänner 97 waren wir so weit, daß einige Schüler das Projekt beim Tag der Offenen Tür präsentieren konnten (allerdings nur mit massiver Unterstützung durch den Rechnungswesen-Lehrer).
Krönender Höhepunkt war die Portfoliotheorie, für die der Wirtschaftswissenschaftler Harry Markowitz den Nobelpreis bekommen hat. Die wichtigste Erkenntnis der Portfoliotheorie besagt, daß sich das Risiko durch Streuung auf mehrere Aktien minimieren läßt. Wie aber müssen in einem Portfolio die Aktien gewichtet werden, daß das Risiko minimal ist? Da staunte die Klasse nicht schlecht, als da plötzlich Statistik, Differentialrechnung und Extremwertprobleme gleichzeitig behandelt werden mußten. Die Klasse stöhnte zwar unter der Last mathematischer Theorie, aber keiner fragte: "Za wos brauch ma dös?" Der Praxisbezug war evident.
Gleich nach den Semesterferien sollten die Präsentationen erfolgen, doch nun kamen wir in Verzug. Eine Stunde um die andere fiel aus, ich lag eine Woche mit einer Grippe im Bett. In den fünf Wochen zwischen Semester- und Osterferien brachte ich es auf insgesamt sechs (!) gehaltene Mathematikstunden. Nun rächte es sich, daß ich das Böresenprojekt zu schlampig geplant hatte. Ich hatte nämlich keine Termine fixiert, um in den Computersälen die Daten zu bearbeiten und nun mußte ich zwischen Schularbeiten und Exkursionen eine Lücke suchen. So ließ sich erst nach den Osterferien ein Termin finden, an dem mir für drei Stunden ein Computersaal zur Verfügung stand. In diesen drei Stunden erarbeitete ich mit den SchülerInnen die Portfolios und die Darstellung von Rendite und Risiko mit Hilfe von Bildlaufleisten. Das faszinierte sie sehr, wir haben selten so intensiv und effektiv in Mathematik gearbeitet wie in diesen drei Stunden im Computersaal.
In dieser Phase wurde von den SchülerInnen immer wieder die Sinnfrage gestellt: Ob wir das Projekt überhaupt zu Ende führen sollten, ob es nicht besser wäre, auf die Matura zu üben usw. Der Sog der Matura war inzwischen so stark geworden, daß an ein kreatives Arbeiten nicht mehr zu denken war. Die SchülerInnen betrieben das Projekt mit minimalem Aufwand: Sie machten nur das, was ich von ihnen verlangte und sonst nichts.
Für die Präsentation der Arbeiten einigten wir uns auf einen Termin drei Wochen später: Samstag, den 10. Mai. An diesem Tag sollte jede der zehn Gruppen ihre Arbeit in 10 - 15 Minuten mit Computerunterstützung (Data-Show) in der Klasse präsentieren. Der technische Aufwand und die Anwesenheit mehrerer Lehrer (außer mir der VWL-, der RW- und der BWL-Lehrer) versetzte die SchülerInnen in eine Aufregung, die die Maturasituation gut simulierte. Die Angelegenheit wurde nun sehr komplex: Neben dem Fachlichen war nun auch die Qualität der Präsentation gefragt. Die SchülerInnen sprachen recht fachkundig über "ihre" Aktien, die Computerunterstützung mit den Charts und den Diagrammen zu den Portfolios wirkten recht professionell. Meine Kollegen und ich hielten uns stark zurück, es war eindeutig der Auftritt der SchülerInnen. Bei der Präsentation machten die SchülerInnen allerdings klassische Fehler:
sie hatten den Vortrag zu wenig strukturiert, verwiesen oft bei interessanten Stellen darauf, daß das später noch genauer behandelt werde, was dann aber nicht geschah.
Als Endbericht verlangte ich von jeder Gruppe allgemeine Informationen über die gewählten Aktien, das Datenmaterial mit grafischer Aufbereitung (Charts mit EXCEL), den Berechnungen und Interpretationen von Kennzahlen (Renditen, Volatilitäten, Korrelationen, Beta-Faktor) im Umfang von 3-5 Seiten. Diese Projekt-Berichte waren allerdings eher dürftig. Die Informationen über die gewählten Aktien waren ausnahmslos aus dem Börsen-Bericht 1995 abgeschrieben, die Aufbereitung des Datenmaterials war bei allen genau so, wie ich es mit ihnen geübt hatte, die meisten Gruppen hatten die Daten im Endbericht gar nicht interpretiert. Ich hätte das ja nicht ausdrücklich verlangt, argumentierten sie!
2.
"Nicht zu glauben - Mathematik hat tatsächlich einen Bezug zur Realität" - Feed-Back der SchülerInnen
Am Präsentationstag ließ ich die SchülerInnen als Feed-Back einige Fragen beantworten:
1. Erfolgsbewertung: Was habe ich im Rahmen des Börsen-Projekts gelernt? (fachlich, methodisch, sozial, usw.)?
Oft wurde der Praxisbezug hervorgehoben: "Nicht zu glauben - Mathematik hat tatsächlich einen Bezug zur Realität"; "Man hat gelernt, die Statistik praktisch anzuwenden, ansonsten hat es eher nichts gebracht"; "Anwendung der Statistik in der Finanzmathematik (oder habe ich das für die Schularbeit gelernt?)"; "praxisbezogene Mathematik", "Praxisbezug"
Weiters schätzten die SchülerInnen die Verbindung von Mathematik und Computer: "Auswertung von Kursen mit EXCEL"; "Daten am Computer zu erfassen", "Computerhandhabung"; "Ich habe gelernt, die Daten auf Computer zu erfassen und grafisch darzustellen"; "Handhabung des Computers"
Nicht zu unterschätzen ist auch die Fähigkeit, Daten zu recherchieren: "in der Zeitung richtig nachschauen"
Schließlich haben die SchülerInnen einen Eindruck vom Aktienmarkt bekommen: "Aktienkauf ist mehr oder weniger ein Glücksspiel"; "Aktien sind sehr riskant"
2. Feed-Back und persönliches Resümee: Was hat mir das Börsen-Projekt persönlich gebracht?
Hier war die Klasse eher gespalten:
Enttäuschung: "Mir persönlich hat das Projekt nichts genützt"; "verlorene Zeit und Ärger; stelle die Sinnhaftigkeit eines solchen Projekts noch immer in Frage"; "Bis jetzt: Arbeit und Aufwand"; "Ich dachte, daß es mehr bringen würde. Zu wenig Zeit im Unterricht. Dennoch ein kleiner Einblick in dieses Gebiet, interessant";
Interesse: "Es war relativ interessant, Einblick in den Aktienmarkt zu bekommen"; "Es war einmal sehr interessant zu sehen, wie sich die Aktien entwickeln. Großes Interesse habe ich jedoch nicht!"; "sehr interessant, denn Bezug zur Realität. Einblick in die Wertpapierberechnung"; "Einen kleinen Einblick in die große Welt der Börse"; "Ich weiß jetzt ein bißchen mehr über Aktien";
3. Konsequenzen: Wirst Du Dir Aktien kaufen? Wie stehst Du zum Aktienmarkt in Österreich?
Diese Frage interessierte mich persönlich. Das Projekt hat alles andere als Euphorie ausgelöst. Die Bilanz ist eher ernüchternd:
"Ich werde mir sicher keine Aktien kaufen, da mir erstens das Geld dazu fehlt und zweitens siche nicht das Börsenprojekt dazu bringen könnte"; "Nein, zu riskant"; "Nein, eher nicht"; "Nein, da ich mich immer noch zu wenig auskenne"; "Nein, zwei der drei Aktien wiesen Verluste aus; außerdem größere Kapitalsumme nötig"; "Nein, ich habe zu wenig Geld. Es ist mir zu risikoreich"; "Nein, eher nicht. Man müßte sich viel intensiver mit diesem Thema befassen, um hier durchzublicken"; "Ich werde keine Aktien kaufen, da meine Zufallsauswahl sehr schlecht ausgegangen ist"; "Vielleicht, wenn ich einmal über etwas mehr Geld verfüge. Auf jeden Fall lasse ich mich dabei beraten"; "Um mir Aktien kaufen zu können, müßte ich mich noch mehr mit der Börse beschäftigen. Vielleicht werde ich das in Zukunft tun"; "Falls finanzielle Mittel vorhanden; Tendenz eher zu Optionsscheinen; zwar mehr Risiko, jedoch auch höhere Renditen möglich"; "Momentan nicht, vielleicht später"; "Wäre sicher interessant. Aber da diese Art ein wenig zu kompliziert ist, gehe ich lieber ins Casino und 'verspekuliere' dort mein Geld"; "Falls ich einmal das nötige Kleingeld habe"; "Es könnte durchaus sein, daß ich Aktien kaufe. Wenn, dann nur zum Probieren"
4. Hinweise für künftige Projekte: Was soll anders gemacht werden?
Die Antwort war einhellig: So ein Projekt sollte nicht in der Maturaklasse gemacht werden!
3. Resüme
Bei der Planung eines Projekts stellt sich immer die Frage des zeitlichen Rahmens. Ein Projekt in den Regelunterricht (in diesem Jahrgang drei Stunden an drei verschiedenen Tagen, nach dem neuen Standardlehrplan nur noch zwei (!) Stunden) hineinzuzwängen, ist eine Überforderung der SchülerInnen. Man muß ganze Schultage für ein Projekt reservieren, an denen die SchülerInnen in zusammenhängenden Zeitblöcken arbeiten können. Das muß aber schon Monate zuvor genauestens geplant werden, damit es keine Kollisionen mit anderen Fächern gibt.
Eine weitere Möglichkeit, Projekte im Mathematik-Unterricht unterzubringen, bietet der schulautonome Lehrplan, bei dem 10 Stunden von jeder Schule frei verwaltet werden können. An unserer Schule (HAK Schwaz) haben wir "Computerunterstützte Mathematik" (CMAM) als zweistündiges Wahlpflichfach im 4. Jg. eingeführt.
Statistik ist bei vielen Mathematik-Lehrern ein ungeliebtes Kind. Seit Jahren klagen die Professoren an der Innsbrucker Wirtschaftsfakultät, daß das Wissen der Maturanten aus Statistik katastrophal sei. Das liegt sicher daran, daß ältere Mathematik-Kollegen in ihrer universitären Ausbildung keine Statistik- und Wahrscheinlichkeitsrechnung genossen haben und später nicht mehr bereit waren, das im Selbststudium nachzulernen. Andererseits muß man aber auch sehen, daß es Unfug ist, Statistik mit einem einfachen Taschenrechner (bis vor wenigen Jahren noch TI 30) zu betreiben. Statistik lebt ja gerade davon, große Massen von Daten zu erheben und auszuwerten. Das ist aber erst seit kurzem möglich, seit auch für den Mathematik-Unterricht leistungsfähige Computerprogramme zur Verfügung stehen. Es muß ja nicht gleich SPSS sein! Mit EXCEL, das allen SchülerInnen vertraut ist, kommt man schon recht weit! Der Computereinsatz bietet hier eine ungeheure Chance, Defizite in der Ausbildung der SchülerInnen auszugleichen und gleichzeitig in der Mathematik einen Praxisbezug herzustellen.
Was haben die SchülerInnen gelernt? Können sie nun Aktienkennzahlen berechnen und interpretieren? Trotz des großen Aufwandes und trotz großzügiger Unterstützung durch Formeln war die Ausbeute eher bescheiden. Das zeigt das Ergebnis bei der schriftlichen Matura, bei der ich eine Aufgabe zur Aktienanalyse gestellt habe. Von 25 Punkten erreichten die SchülerInnen im Durchschnitt 18 Punkte. Für mich war das ein schlechtes Ergebnis, ich hatte diese Aufgabe für "a gmahte Wiesn" gehalten, wie man bei uns in Tirol zu sagen pflegt.
4. Maturaaufgabe Haupttermin 1996/97:
Ein Anleger hat Anfang Dezember 1996 an der Wiener Börse Aktien des steirischen Chipherstellers AMS und des Flughafens Wien (kurz: FLU) gekauft und beobachtet nun die Kursentwicklung in wöchentlichen Abständen bis Anfang Februar 1997:
|
Datum |
ATX |
AMS |
FLU |
|
02.12.1996 |
1127,08 |
818 |
520 |
|
09.12.1996 |
1122,41 |
823 |
528 |
|
16.12.1996 |
1124,58 |
859 |
521 |
|
23.12.1996 |
1123,74 |
840 |
530 |
|
30.12.1996 |
1140,19 |
836 |
552 |
|
07.01.1997 |
1137,09 |
846 |
525 |
|
13.01.1997 |
1167,43 |
968 |
536 |
|
20.01.1997 |
1176,07 |
986 |
533 |
|
27.01.1997 |
1175,21 |
949 |
570 |
|
03.02.1997 |
1182,16 |
991 |
544 |
Nun will er eine erste Bilanz ziehen und wendet sich an Dich als einen Experten/eine Expertin für Aktienanalyse.
Da die schriftliche Matura nicht im Computersaal stattfand, stand den SchülerInnen EXCEL nicht zur Verfügung. Sie mußten alle Kennzahlen mit dem SHARP PC-1403H berechnen. Um die sinnlose Tipparbeit auf ein Minimum zu reduzieren, stellte ich den SchülerInnen auf einem Beiblatt folgende Tabelle zur Verfügung:
|
Datum |
ATX |
AMS |
FLU |
rATX |
rATX^2 |
rAMS |
rAMS^2 |
rFLU |
rFLU^2 |
rATX*rAMS |
rATX*rFLU |
rAMS*rFLU |
|
1996-12-02 |
1127,08 |
818 |
520 |
|||||||||
|
1996-12-09 |
1122,41 |
823 |
528 |
-0,41 |
0,1717 |
0,61 |
0,3736 |
1,54 |
2,3669 |
-0,2533 |
-0,6375 |
0,9404 |
|
1996-12-16 |
1124,58 |
859 |
521 |
0,19 |
0,0374 |
4,37 |
19,1340 |
-1,33 |
1,7576 |
0,8457 |
-0,2563 |
-5,7992 |
|
1996-12-23 |
1123,74 |
840 |
530 |
-0,07 |
0,0056 |
-2,21 |
4,8924 |
1,73 |
2,9841 |
0,1652 |
-0,1290 |
-3,8209 |
|
1996-12-30 |
1140,19 |
836 |
552 |
1,46 |
2,1429 |
-0,48 |
0,2268 |
4,15 |
17,2303 |
-0,6971 |
6,0764 |
-1,9766 |
|
1997-01-07 |
1137,09 |
846 |
525 |
-0,27 |
0,0739 |
1,20 |
1,4308 |
-4,89 |
23,9249 |
-0,3252 |
1,3299 |
-5,8508 |
|
1997-01-13 |
1167,43 |
968 |
536 |
2,67 |
7,1194 |
14,42 |
207,9596 |
2,10 |
4,3900 |
38,4778 |
5,5905 |
30,2150 |
|
1997-01-20 |
1176,07 |
986 |
533 |
0,74 |
0,5477 |
1,86 |
3,4578 |
-0,56 |
0,3133 |
1,3762 |
-0,4142 |
-1,0408 |
|
1997-01-27 |
1175,21 |
949 |
570 |
-0,07 |
0,0053 |
-3,75 |
14,0815 |
6,94 |
48,1891 |
0,2744 |
-0,5076 |
-26,0495 |
|
1997-02-03 |
1182,16 |
991 |
544 |
0,59 |
0,3497 |
4,43 |
19,5869 |
-4,56 |
20,8064 |
2,6173 |
-2,6975 |
-20,1875 |
|
S |
4,82 |
10,4536 |
20,45 |
271,1434 |
5,12 |
121,9626 |
42,4810 |
8,3546 |
-33,5699 |
|||
|
S/9: |
0,54 |
1,1615 |
2,27 |
30,1270 |
0,57 |
13,5514 |
4,7201 |
0,9283 |
-3,7300 |
Ausgehend von dieser Tabelle können die Kennzahlen ohne großen Rechenaufwand ermittelt werden. Die SchülerInnen mußten nur die entsprechenden Zahlen aus der Tabelle in die Formeln einsetzen, die ihnen ebenfalls zur Verfügung standen (siehe Anhang "Aktienanalyse-Formeln"). Aber das war schon schwierig genug! Die wenigsten waren fähig, die Kennzahlen vollständig zu berechnen und diese dann zufriedenstellend zu interpretieren. Gerade die Interpretation der Zahlen bereitete große Probleme:
a) Renditen und Volatilitäten:

Die höchste Rendite weist AMS auf, aber auch die höchste Volatilität (Schwankungsbreite), und damit ist AMS die risikoreichere der beiden Aktien. Statistisch ist die Rendite nichts anderes als das arithmetische Mittel der einzelnen (Wochen-)Renditen, die Volatilität die Standardabweichung. Als Faustregel gilt: Im Intervall mittlere Rendite plus/minus Volatilität liegen zirka zwei Drittel der Werte.
Auffallend gering ist die Volatilität beim Index ATX. Durch die Mischung von über 20 Aktien minimiert das Risiko.
b) Kovarianzen und Korrelationen:

AMS hängt stark, FLU schwach vom ATX ab. AMS und FLU sind schwach negativ korreliert. Für ein Portfolio ist dies unter dem Aspekt der Risikominimierung günstig.
c) Beta-Faktoren:
![]()
Steigt der ATX um 1 %, so ist zu erwarten, daß AMS um 4 %, FLU um 0,71 % steigen. Der Beta-Faktor von AMS ist untypisch hoch. Der (zu) kurze Beobachtungszeitraum wirkt sich hier aus.
d) Portfoliorendite und -volatilität für 25 % AMS, 75 % FLU:
e = 0,25·2,27 + 0,75·0,57 = 0,995 % Portfoliorendite
![]()
s = 2,67 % Portfoliorendite
Die Portfoliorendite liegt zwischen den beiden Aktienrenditen, aber die Portfoliovolatilität ist wesentlich kleiner als bei den beiden Aktien. Das Risiko ist bei diesem Portfolio also geringer als bei den einzelnen Aktien.
e) Risikominimales Portfolio:
,
d.h. bei 38 % AMS und 62 % FLU ist das Risiko minmal.
e = 0,38·2,27 + 0,62·0,57 = 1,216 % Portfoliorendite
![]()
s = 2,51 % Portfoliorendite
Die Rendite läßt sich auf 1,2 % erhöhen, die Volatilität läßt sich auf 2,51 % senken.
f) s. Beitrag 3, AMMU 10, S. 7.
AKTIENANALYSE - FORMELN
Rendite einer Aktie

Mittlere bzw. Durchschnittsrendite für n Renditen:
![]()
Volatilität (Risiko) der Aktie:
![]()
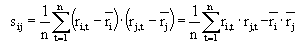
Kovarianz zwischen dem Index ATX und der Aktie i:
![]()
Bestimmtheitsmaß:
(Maß für das Markt-Risiko der Aktie i)
Beta-Faktor:
(Regressionskoeffizient der Regressionsgeraden ATX und Aktie i)
Der Beta-Faktor gibt an, wie stark sich die Aktie i verändert, wenn sich der ATX um 1% verändert.
PORTFOLIOTHEORIE
Portofolio von N verschiedenen Aktien mit der Gewichtung
.
Kovarianzen der einzelnen Aktien
![]()
Korrelationskoeffizienten
![]()
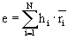
Erwartete Portfoliorendite:
![]()
Varianz und die Volatilität (Standardabweichung) des Portfolios:
![]()
Für N = 2 ergibt sich:
![]()
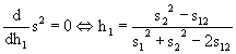
Risikominimales Portfolio für den Fall N = 2: Da h2 = 1 - h1 ist, ist die Varianz nur noch eine (quadratische) Funktion in einer Variablen. Das Minimum dieser Funktion findet man durch Ableiten und Nullsetzen der ersten Ableitung:
![]()