| Allgemeines räumliches Kräftesystem |
Mathematische Inhalte:
Trigonometrie, Vektorrechnung
Anwendung:
Drehmomentes Berechnung des Drehmomentes in physikalischen und technischen Fragestellungen
Kurzzusammenfassung:
Die mathematische Formulierung des Moments einer räumlichen Kraft bezüglich eines Punktes und einer Achse wird anhand zweier Beispiele gegeben und das Moment berechnet.
Dieser Beitrag ist eine Schülerarbeit, die im Rahmen eines Mathematikprojektes im 4. Jahrgang (Abteilung allgemeiner Maschinenbau) erstellt wurde.
Lehrplanbezug:
2. und 4. Jahrgang, alle Abteilungen
Zeitaufwand:
Die Präsentation betrug 1 Stunde. Die Vorbereitungszeit war 3 Wochen.
Mediales Umfeld:
Word für Windows 6.0
Mathcad 5.0
Anmerkungen:
Im letzten Schuljahr wurde im 2. Semester in einem 4. Jahrgang Abt. Maschinenbau ein Mathematikprojekt folgender Art von mir durchgeführt.
Im Rahmen einer einmonatigen Vorbereitungsphase wurden verschiedene mathematische Fragestellungen, wenn möglich mit einem für die Schüler aktuellen fachlichen Bezug zu anderen Gegenständen, bearbeitet und anschließend in der Klasse präsentiert.
Bei der Bewertung waren nicht nur fachliche Kriterien ausschlaggebend, sondern auch andere, wie zum Beispiel die Präsentation der Arbeit vor der Klasse oder die Dokumentation der Arbeit in Form eines Skriptums.
Als Beispiel dieser Arbeiten wurde die Aufgabe der beiden Schüler Andreas Berger und Andreas Ebner ausgewählt.
Die Angabe der Aufgabenstellung meinerseits lautete so:

Die Ausarbeitung der Aufgabe wurde von den Schülern folgendermaßen durchgeführt:
Beginn der Schülerarbeit:
Beispiel 1:
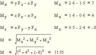
Moment um Punkt A
Eine an einem starren Körper z.B. im Punkt A - gegeben durch den Ortsvektor r=(x,y,z) - angreifende Kraft F wird den Körper nicht nur verschieben, sondern in Bezug auf das räumliche Koordinatensystem auch verdrehen, d.h. in Rotation versetzen. Die Kraftkomponenten Fx, Fy, Fz die den Körper in die Koordinatenrichtung x, y und z verschieben, erhalten wir wieder durch Multiplikation der Kraft mit dem Kosinus ihrer Richtungswinkel.
Da die Kraft F nicht im Koordinatenursprung angreift bzw. ihre Wirkungslinie nicht durch den Ursprung des Koordinatensystems geht, erzeugen die Kraftkomponenten ein Moment, das den Körper um die jeweilige Koordinatenachse zu verdrehen versucht. Wie in der ebenen Statik ist das Moment positiv, wenn der Momentenvektor in die positive Koordinatenrichtung zeigt. Daraus folgt für die Komponenten des Momentenvektors:
Den Betrag des Moments erhält man durch:
Mechanische Lösung
Berechnung der Winkel
Winkel a
|
|
|
Winkel b
|
|
|
Winkel g
|
|
|
Berechnung der Einzelkräfte Fx, Fy und Fz

Berechnung des Momentes

Mathematische Lösung
Vektorprodukt
Unter dem Vektorprodukt a x b (gesprochen a kreuzt b) der beiden Vektoren a und b versteht man einen Vektor c mit folgenden Eigenschaften.
1.Das Vektortripel a, b und c bildet in dieser Reihenfolge ein Rechtssystem.
2.Der Vektor c= a x b steht senkrecht auf der von a und b aufgespannten Ebene
3.Der Betrag von c ist gleich dem Flächeninhalt des von a und b erzeugten Parallelogramms
Alle weiteren Berechnungen wurden mit MathCad durchgeführt
Moment um Achse AB
Die Kraft F erzeugt um die Achse AB ein Drehmoment und weiters übt diese Kraft F auch noch ein Biegemoment auf die Achse AB aus.
Der Normalvektor x ist jener Abstand, welcher auf die Achse AB und auf die Wirklinie der Kraft den kürzesten Abstand hat und normal auf beide steht.
Maschinenbauer lösen ein solches Problem heutzutage mit der Vektorrechnung.
|
|
|
M(A)= AP x F ist der Momentenvektor bezogen auf einen Punkt A der Achse a.
M(A) steht also senkrecht auf der Ebene, die von den Vektoren AP und F aufgespannt wird. Damit wird das Moment um die Achse a:
Beispiel 2:
In der Mechanik könnte dieses Problem gelöst werden, indem man die Kraft in drei Komponenten zerlegt und bestimmt mit jeder Kraft ein eigenes Moment um den Punkt 4.
Der Normalabstand wird graphisch ermittelt, auch dieses Problem ist mit der Vektorrechnung um einiges leichter zu lösen.

Lösung:
a) Die Ebene wird durch die beiden Differenzenvektoren aufgespannt

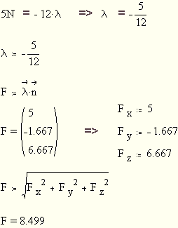
Der Normalvektor n steht senkrecht auf der Ebene, also auch senkrecht zu P1P2 und P1P2
Die Kraft F ist kollinear zum Normalvektor n
l = Skalar = reelle Zahl
Für das Moment M bezüglich des Punktes P4 braucht man den Ortsvektor P4P1 vom Bezugspunkt zum Angriffspunkt der Kraft.
b)Durch Normierung, d.h. durch Division durch den eigenen Betrag erhält man den Normaleinheitsvektor der Ebene.
![]()

Die Momenten-Komponente Mn senkrecht zur Ebene ergibt sich durch die Projektion des Momentenvektors auf den Normaleinheitsvektor, also durch deren skalare Multiplikation.
Skalarprodukt
Das Skalarprodukt zweier Vektoren ist gleich dem Produkt aus den Beträgen der Vektoren und dem Kosinus des eingeschlossenen Winkels.(Siehe Skizze)
![]()
![]()
