Markus Paul, BHAK Schwaz
| Aktienanalyse |
Mathematische Inhalte:
Deskriptive Statistik, Regressions- und Korrelationsrechnung, Extremwertprobleme
Kurzzusammenfassung:
Um Ertrag und Risiko von Aktien abschätzen zu können, werden statistische Maßzahlen berechnet. Die Frage, wie ein risikominimales Aktien-Portfolio zusammengestellt werden kann, führt auf ein Extremwertproblem.
Lehrplanbezug:
V. Jg. HAK, 4. Jg. HTL, 8. Kl. AHS (Statistik-und Analysis-Unterricht)
Mediales Umfeld:
Tabellenkalkulation EXCEL
Dateiname auf Diskette: AKTANAL.XLS
Anmerkungen:
Die Börse bietet für interessierte LehrerInnen Fortbildungsveranstaltungen
an. Auskünfte erteilen bei der Wiener Börse, Wipplingerstr. 34,
1013 Wien, Frau Mag. Edith Frank (Tel: 0222/534 99/401) bzw. Frau Duhoslav
Kl. 444.
Als Arbeitsunterlagen können dort der aktuelle "Jahresbericht
der Wiener Börse", die laufenden "Monats-Berichte"
oder die Börsen-Zeitschrift "Ticker" angefordert werden.
Für ein Projekt kann über den Verein ZiS (Zeitung in der Schule),
Schreyvogelgasse 3, 1010 Wien, Tel: 0222/53361 78-0 für 12 Wochen
ein Gratisabonnement (pro Schüler!) einer Tageszeitung (etwa STANDARD
oder Presse) bestellt werden, um die Aktienkurse der Wiener Börse
zu verfolgen.
Sind die Begriffe Mittelwert, Streuung, Kovarianz, Korrelation und Regression
erklärt, kann die Aktienanalyse mit Hilfe von EXCEL in wenigen Stunden
erfolgen. Der Mathematik-Unterricht bekommt dadurch einen Anwendungs- und
Praxisbezug, wie man ihn sich nur wünschen kann.
1. Aktienanalyse
In einem Projekt habe ich mit einer Maturaklasse folgende Situation
simuliert: Ein Anleger interessiert sich für drei Aktien. Nehmen wir
an, er will Aktien des Halbleiterproduzenten AMS, des Flughafens Wien (FLU)
und der OMV kaufen. Er beobachtet die Kursentwicklung zwei Monate lang
und zieht dann Bilanz. Der Anleger verfügt nun über eine Reihe
von Aktienkursen
der Aktien
i zu den Zeitpunkten t (hier:Tage, es können aber auch Wochen, Monate,
Quartale oder Jahre sein).
Als erstes wird sich dann der Anleger die Kursentwicklung in Charts veranschaulichen. Dazu kann er in EXCEL den Diagrammassistenten einsetzen:
Zeit- und Kursreihe markieren
Diagrammassistent aufrufen
Schritt 2: Linien
Schritt
3: 1
Schritt 4: 1 Zeile
als Rubrikenbeschriftung.
Anschließend kann noch die Regressionsgerade eingefügt werden:
Daten im Diagramm markieren (müssen gelb leuchten)
Menü Einfügen: Trendlinie
Typ: linear
Option: Formel
im Diagramm darstellen.
Der Chart für OMV schaut dann so aus:
Nun interessieren den Aktienanleger zwei Werte: Die Rendite und das
Risiko.
Die Rendite (vereinfacht ohne Berücksichtigung einer Dividendenausschüttung!)
errechnet sich aus dem Quotienten aufeinanderfolgender Kurswerte:

In EXCEL muß dieser Quotient lediglich aus den ersten beiden Werten
gebildet werden, er kann dann durch Ziehen mit der Maustaste über
die gesamte Kursreihe kopiert werden.
Im einfachsten Fall wird dann aus diesen Renditen ![]()
die mittlere bzw. Durchschnitts-Rendite mit Hilfe des arithmetischen Mittels
(in EXCEL: MITTELWERT) berechnet:

Je nach Zeiteinheit erhält der Anleger so eine mittlere Tages-,
Wochen-, Monats-, Quartals- oder Jahresrendite.
Mathematisch ist diese mittlere Renditenberechnung problematisch:
Bei der Kursreihe 100, 110, 100 ergeben sich als Renditen 10 % und -9,09
%, als Mittel 0,455 %. Sinnvoll ist aber als mittlere Rendite 0 %!
Eigentlich müßte bei einer Reihe von prozentualen Wachstumswerten
das geometrische Mittel verwendet werden! Dieses läßt sich dann
durch Logarithmieren wieder ins arithmetische Mittel transformieren. Es
ergeben sich dann als Renditen ln(110/100) = 9,531 % und ln(100/110) =
-9,531 % und dann als mittlere Rendite 0 %. Nun paßt allerdings die
erste Rendite nicht mehr: Der Zuwachs 9,531 % ist der stetige Zuwachs.
Die Abweichungen scheinen in der Praxis allerdings gering.
Als Maß für das Risiko nimmt man die Standardabweichung der
Renditen. Diesen Wert bezeichnet man als Volatilität der Aktie:
(in EXCEL: STABW)
Da aber die Varianz
über angenehmere mathematische Eigenschaften verfügt, rechnet
man oft mit diesem Wert, obwohl er nicht mit der Dimension der Ausgangsdaten
vergleichbar ist.
Um die Rentabilität einer Aktie abschätzen zu können, wird
sie mit dem Aktien-Index ATX in Relation gesetzt. Grundlage jeder Berechnung
bildet die Kovarianz
(in EXCEL: KOVAR, allerdings mit n-Gewichtung)
Aus der Kovarianz berechnet sich das Bestimmtheitsmaß

Es ist eine Maßgröße, die angibt, wie stark die Regressionsgerade von ATX und der Aktie i einen linearen stochastischen Zusammenhang erklärt. In anderen Worten: Das Bestimmtheitsmaß beschreibt den Anteil des marktspezifischen, systematischen Risikos am Gesamtrisiko dieses Papiers. Zu diesen Risiken gehören Zinsänderungen oder globale Konjunkturschwankungen, also Einflußfaktoren, die den gesamten Markt betreffen und nicht diversifizierbar sind, deren Risiko sich also nicht streuen läßt. Der Wert 1-R² beschreibt das unternehmensinterne, unsystematische Risiko. Management, Gesetzeslage, Konkurrenz sind Faktoren, die nur das Unternehmen oder die Branche betreffen. Diese Risiken sind in einem Portfolio diversifizierbar.
Die Quadratwurzel des Bestimmtheitsmaßes, der Korrelationskoeffizient
R, ist ein Maß für die lineare Abhängigkeit der Aktie
i vom ATX.
Von großer Bedeutung ist der Beta-Faktor
Es ist dies nichts anderes als die Steigung der Regressionsgeraden aus prozentualen Wertveränderungen der Aktie i als abhängiger Variable und den die Marktentwicklung repräsentierenden prozentualen Änderungen des Index ATX als unabhängiger Variable. Der Beta-Faktor gibt an, um wieviel Prozent sich die Aktie i verändert, wenn sich der ATX um 1 % verändert. Ist der Beta-Faktor größer als eins, so bewegt sich die Aktie i stärker als der im Index repräsentierte Aktienmarkt. Der Beta-Faktor ist somit eine wichtige Maßzahl für die Sensitivität einer Aktie auf Marktänderungen.
Für die Wochenkurse ergeben sich folgende Werte:
Diese berechneten Maßzahlen lassen sich etwa folgendermaßen interpretieren:
Die Rendite ist am höchsten bei AMS, dafür aber auch die Volatilität (Streung, Schwankungsbreite) und damit das Risiko. Erwartungsgemäß ist die Volatilität am geringsten beim Index selbst, da hier durch die Mischung von ca. 20 Fließhandelsaktien das Risiko verteilt und weitgehend vernichtet wird.
Die Korrelation von FLU mit dem ATX ist sehr gering, Das Bestimmtheitsmaß
nur 2 %. Das bedeutet, daß das Unternehmensrisiko sehr hoch ist,
nämlich 1-R² = 98 %.
Der Beta-Faktor von OMV besagt, daß sich bei einer Änderung
des ATX um 1 % die OMV-Aktie voraussichtlich um 2,687 % ändert.
Alle diese Werte sind natürlich mit größter Vorsicht zu
genießen, da der Beobachtungszeitraum sehr kurz war. So sollte sich
für OMV ein Beta-Faktor nahe eins ergeben, da OMV mit mehr als 10
% im Index vertreten ist. Hier geht es vorwiegend darum, die Interpretation
von statistischen Maßzahlen bei der Aktienanalyse zu üben.
2. PORTFOLIOTHEORIE
Ende der fünfziger Jahre hat der Wirtschaftswissenschaftler Harry
M. Markowitz eine Theorie der "Portfolio Selection", so die gleichnamige
Veröffentlichung 1959, entwickelt und damit den Grundstein für
eine statistische Analyse von Aktienportfolios gelegt. 1990 hat Markowitz
den Nobelpreis für Wirtschaftswissenschaften bekommen.
Die Kernfrage der Portfoliotheorie lautet: Wie soll ein bestimmter verfügbarer
Geldbetrag auf die einzelnen Anlagemöglichkeiten ("assets")
aufgeteilt werden ("portfolio selection", "asset allocation")?
Hält ein Anleger nur eine einzige Aktie, so ist er dem vollen Risiko
eines Wertverlusts ausgesetzt. Um dieses Risiko zu minimieren, kauft der
Anleger eine Mischung von N verschiedenen Aktien, die mit der Gewichtung
ni in diesem Portfolio vertreten sind,
d.h.
.
Die Abhängigkeit der einzelnen Aktien ergibt sich aus den Kovarianzen

und den Korrelationskoeffizienten

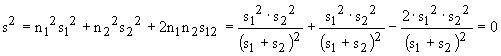
Die erwartete Portfoliorendite ist dann das gewichtete arithmetische Mittel der einzelnen Aktien

Die Varianz und die Volatilität (Standardabweichung) des Portfolios ergeben sich aus:

Für N = 2 läßt sich dies noch leicht berechnen und übersichtlich anschreiben:
,
![]()
Aus den drei Aktien AMS, FLU und OMV können drei Portfolios mit je zwei Aktien gebildet werden. Dazu braucht man sämtliche Varianzen und Kovarianzen. Was händisch eine gigantische Arbeit wäre, läßt sich mit EXCEL mühelos berechnen (Matrix der Kovarianzen erstellen mit KOVAR). So können für die drei Portfolios Rendite und Volatilität berechnet werden:
Um die Portfoliorendite und die Portfolio-Volatilität zu veranschaulichen,
können Säulen-Diagramme erstellt und die Gewichte
mit Bildlaufleisten dynamisiert werden.
Dazu ruft man im Menü "Ansicht" "Symbolleisten"
die Dialogsymbolleiste auf und wählt das Symbol für Bildlaufleiste
aus:
Mit der Maus wird die Bildlaufleiste aufgezogen und positioniert. Mit einem Klick der rechten Maustaste kann das Kontextmenü geöffnet werden, "Objekt formatieren" liefert eine Dialogbox, bei der die Ausgabeverknüpfung hergestellt werden muß:
Im Beispiel FLU-OMV ist die verknüpfte Zelle I34 unter der Bildlaufleiste
versteckt, in Zelle I30 werden die Werte auf Prozent umgerechnet. Nun können
alle Mischungen zwischen 0 % und 100 % sofort visuell umgesetzt werden.
Schiebt man den Anteil von FLU in diesem Portfolio von 0 % auf 100 %, so
sinkt die Rendite linear von 2,11 % (der Rendite von OMV) auf 0,67 % (der
Rendite von FLU). Interessanter ist aber, was dabei mit der Volatilität
geschieht: Sie sinkt von 3,587 % auf einen minimalen Wert ab und steigt
dann wieder auf 3,581 %.
3. Risikominimales Portfolio
3.1. Risikominimales Portfolio für zwei Aktien
Natürlich drängt sich nun die Frage auf, bei welcher Mischung
die Volatilität minimal ist!
Das ist das Grundproblem eines konservativen Anlegers, der nicht die Rendite
maximieren will (bei hohem Risiko), sondern das Risiko minimieren (und
eine geringere Rendite in Kauf nimmt).
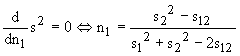
Für den Fall
läßt
sich dies leicht berechnen. Da
ist, ist die Varianz nur noch eine (quadratische) Funktion in einer Variablen.
Das Minimum dieser Funktion findet man durch Ableiten und Nullsetzen der
ersten Ableitung:

Dies ist ein Minimum, wenn
.
Zusätzlich ergibt sich eine sinnvolle Portfoliomischung nur für
die Werte
,
Es muß also sowohl
gelten als auch
.
Ist dies nicht der Fall, so liegt das Minimum für
außerhalb des Intervalls [0; 1]. Dieses Minimum kann aber mit Hilfe
von Optionen realisiert werden.
Für die drei Portfolios ergeben sich folgende Mischungen, Renditen und Volatilitäten für das minimale Risiko:
Das Portfolio AMS-OMV läßt sich risikominimal nur außerhalb
des Bereichs [0; 1] realisieren. Denn die Kovarianz (0,00139) ist nicht
kleiner als die Varianz von OMV (0,001287). Dies kann auch mit der Korrelation
erklärt werden: AMS und OMV korrelieren mit 0,841. Durch stark gleichgerichtete
Aktien kann aber keine Risikoausschaltung erfolgen.
3.2. Volatilität und Korrelation
Nun kann auch die Portfolio-Volatilität in Abhängigkeit von der Korrelation R untersucht werden. Drei Fälle sind interessant:
1. Fall: R = -1, d.h. die Aktien sind negativ linear abhängig:
Die Kovarianz kann durch die Standardabweichungen ersetzt werden:
![]()
Für das risikominimale Portfolio ergibt sich folgende Mischung:

Das Risiko läßt sich bei dieser Mischung vollständig vernichten:

2. Fall: R = 0, d.h. die Aktien sind unkorreliert:
Da die Kovarianz
, ergibt
sich

Hier läßt sich das Risiko minimieren auf

Diese Portfolio-Varianz ist kleiner als die Varianzen der beiden Aktien.
3. Fall: R = +1, d.h. die Aktien sind positiv linear abhängig:
Mit
ergibt sich
![]()
Beide Werte liegen außerhalb des Intervalls [0; 1]! Durch gleichgerichtete
Aktien läßt sich Risiko nicht vernichten. Das Minimum der Varianz
liegt am Rand dieses Intervalls, es ist die kleinere Varianz der beiden
Aktien.
Beispiel: Für zwei Aktien mit den Varianzen
und
ergeben sich für
die Korrelationen
die
Kovarianzen
. Der Zusammenhang
zwischen der Gewichtung
und der Portfoliovolatilität
läßt sich in einer Wertetabelle und in einem Diagramm in EXCEL
darstellen:
Die Korrelation kann auch mit einer Bildlaufleiste verknüpft werden. Die Varianz-Kurve läßt sich dann zwischen den Kurven für R = -1 und R = 1 verschieben.
3.3. Risikominimales Portfolio für mehrere Aktien
Noch interessanter ist natürlich die Frage, wie das risikominimale
Portfolio aller drei Aktien gemischt werden muß. Dies führt
auf ein Extremwert-Problem mit mehreren Variablen. Es kann mit dem Ansatz
der Lagrange-Multiplikatoren gelöst werden, was allerdings den Schulstoff
übersteigt.
Die Funktion

muß minimiert werden unter der Nebenbedingung
![]()
Für das Minimum muß es dann einen Multiplikator
geben, sodaß gilt:
.
Dies führt mit den partiellen Ableitungen
![]()
auf folgendes Gleichungssystem, wobei die Konstante 2 vernachlässigt werden kann:

oder - sehr einprägsam und auf N Aktien verallgemeinerbar - in Matrizenform:

Mit EXCEL läßt sich so ein Gleichungssystem als Matrizenmultiplikation leicht lösen:
Durch die Funktion MMULT(MINV(G25:J28);K25:K28) wird die Inverse der Matrix G25:J28 mit dem Spaltenvektor K25:K28 multipliziert. Davor muß der Bereich L25:L28 markiert werden, der Matrizenbefehl muß mit STRG+UMSCH+ENTER abgeschlossen werden, EXCEL setzt dann geschwungene Klammern.
Als Ergebnis ergibt sich folgende Mischung: AMS 16,7 %, FLU 53 % und OMV 30,3 %. Die Rendite beträgt 1,47 %, die Volatilität 2,643 %. Damit ist die Volatilität kleiner als bei allen Portfolios mit zwei Aktien!
3.4. Risikominimales Portfolio mit Renditeniveau
Eine weitere interessante Frage: Wie muß das Portfolio gemischt
werden, wenn der Anleger eine bestimmte Rendite erzielen will und das Risiko
für diese Rendite minimal sein soll?
Der Anleger will z.B. eine Portfolio-Rendite von 2 % erzielen. Das Risiko
muß also unter den beiden Nebenbedingungen
und
![]()
minimiert werden.
Für das Minimum muß es dann zwei Multiplikatoren l1 und l2 geben, sodaß gilt:
.
Dies führt mit den partiellen Ableitungen auf folgendes Gleichungssystem:

Wieder läßt sich dieses Gleichungssystem in EXCEL mit Matrizenfunktionen lösen:
Es ergibt sich folgende Mischung: AMS 51,2 %, FLU 33,2 % und OMV 15,5 %. Bei der Rendite von 2 % beträgt die minimale Volatilität 3,026 %.
4. RESUME
Erst durch den Einsatz des Computers (hier mit EXCEL) ist die Aktienanalyse
für den Unterricht in den Schulen möglich geworden. Die Masse
an Daten, die verarbeitet werden müssen, wäre ohne Computer nie
zu bewältigen.
Durch die vordefinierten statistischen Funktionen in EXCEL verlagert sich
das Hauptaugenmerk von der Rechentechnik auf die Interpretation der Maßzahlen.
Mit Hilfe von Bildlaufleisten bekommt die Mathematik einen experimentellen
Charakter. Es werden nicht mehr nur einzelne Werte berechnet, sondern es
können sehr leicht und anschaulich Szenarien durchgespielt werden.
(Was passiert, wenn die Aktien so oder so gemischt werden?)
Der Computer ermöglicht so einen Praxis- und Anwendungsbezug, wie
man ihn sich nur wünschen kann.
Gleichzeitig erweist sich aber auch die Mathematik als unentbehrliches
Hilfsmittel für praxisrelevante Problemstellungen. Dies zeigt, daß
in den Wirtschafts- und Finanzwissenschaften auf die Mathematik auf keinen
Fall verzichtet werden kann!
Literaturhinweise:
Udo Hilscher: Fischer Börsenlexikon. Frankfurt am Main: Fischer
1992. (=FTB Wirtschaft 10389)
Als Einstieg in die Welt der Börse hervorragend geeignet, vor allem
hat das Buch keine Scheu vor mathematischer Terminologie
Lutz Kruschwitz: Investitionsrechnung. München: Vahlen 1995.
In einem Kapitel dieses Wälzers wird die Portfoliotheorie sehr ansprechend
abgehandelt.